
SC311 (0.5A)
( 400V to 600V / 0.5A )
FAST RECOVERY DIODE
Outline drawings, mm
Features
Surface mount device
High voltage by mesa design
High reliability
Applications
High speed switching
Maximum ratings and characteristics
Absolute maximum ratings
Item
Repetitive peak reverse voltage
Non-repetitive peak reverse voltage
Average output current
Surge current
Operating junction temperature
Storage temperature
Symbol
V
RRM
VRSM
IO
IFSM
Tj
Tstg
Conditions
Sine wave 10ms 10
-40 to +150
-40 to +150
Unit
V
V
A
A
°C
°C
Electrical characteristics (Ta=25°C Unless otherwise specified )
Item
Forward voltage drop
Reverse current
Reverse recovery time
Thermal resistance
Symbol
VFM
IRRM
t rr
Rth(j-a)
Conditions
IFM=0.5A
VR=VRRM
IF=0.1A, IR=0.2A, Irec=0.05A
Junction to ambient
50
50
120*
Unit
V
µA
ns
°C/W
Resisitive load (Ta=25°C)
Rating
-04 -06
0.5*
400 600
400 600
Max.
2.5
Marking
3
±0.2
5.1
-0.1
+0.4
1.35
±0.4
1.2
±0.2
1.35
±0.4
2 MIN.
2.5
±0.2
2.6
±0.2
0.1
Marking
HC
Cathode mark
Type name code
SC311-4 HC
SC311-6 HE
Code
Lot. No
*
Mounted to glass fabric base epoxy resin printed circuits, land (15mm x 15mm)

SC311(0.5A)
(400V to 600V / 0.5A )
Characteristics
Forward characteristics
VF [V]
Reverse characteristics
V
R [V]
IF
[A]
IR
[µA]
[°C/W]
Junction capacitance characteristics
Cj
[pF]
VR [V]
30
10
5
3
1
5
3
1.0
0.5
0.3
0.1
0.05
0.03
0 1.0 2.0 3.0
Surge capability
I
FSM
[A]
1 3 5 10 30
Current derating (Io - Ta)
10 30 50 100 300
Ta [°C]
IO
[A]
[mm2]
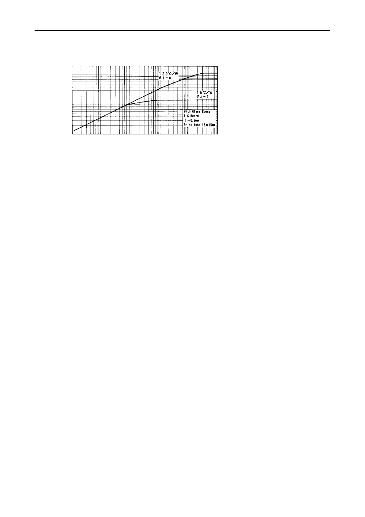
Thermal resistance print land
10
1
0.1
0.01
0 100 200 300 400 500 600
0.7
0.6
0.5
0.4
0.3
0.2
0.1
0
0 20 40 60 80 100 120 140
30
10
5
3
1
500
100
10
1
10 100 1000
[time] (at 50Hz)

Transient thermal impedance
[°C/W]
t [sec.]
SC311(0.5A)
(400V to 600V / 0.5A )
100
10
1
10
-3
10-2 10-1 100 101 10
2