
Features
2SK3233
Silicon N Channel MOS FET
High Speed Power Switching
ADE-208-1369 (Z)
1st. Edition
Mar. 2001
• Low on-resistance: R
• Low leakage current: IDSS = 1 µA max (at VDS = 500 V)
• High speed switching: tf = 15 ns typ (at VGS = 10 V, VDD = 250 V, ID = 2.5 A)
• Low gate charge: Qg = 15 nC typ (at VDD = 400 V, VGS = 10 V, ID = 5 A)
• Avalanche ratings
= 1.1 Ω typ.
DS(on)
Outline
TO–220CFM
D
G
S
1
2
3
1. Gate
2. Drain
3. Source

2SK3233
Absolute Maximum Ratings (Ta = 25°C)
Item Symbol Ratings Unit
Drain to source voltage V
Gate to source voltage V
Drain current I
Drain peak current ID
Body-drain diode reverse drain
DSS
GSS
D
Note1
(pulse)
I
DR
current
Body-drain diode reverse drain peak
IDR
(pulse)
Note1
current
Avalanche current IAP
Channel dissipation Pch
Note3
Note2
Channel to case Tehrmal Impedance θ ch-c 4.17 °C/W
Channel temperature Tch 150 °C
Storage temperature Tstg –55 to +150 °C
Notes: 1. PW ≤ 10 µs, duty cycle ≤ 1%
2. Value at Tc = 25°C
3. Tch ≤ 150°C
500 V
±30 V
5A
20 A
5A
20 A
5A
30 W
2

2SK3233
Electrical Characteristics (Ta = 25°C)
Item Symbol Min Typ Max Unit Test Conditions
Drain to source breakdown
V
(BR)DSS
voltage
Gate to source leak current I
Zero gate voltage drain current I
Gate to source cutoff voltage V
Static drain to source on state
R
GSS
DSS
GS(off)
DS(on)
resistance
Forward transfer admittance |yfs| 3.0 4.5 — S ID = 2.5 A, VDS = 10 V
Input capacitance Ciss — 580 — pF VDS = 25 V
Output capacitance Coss — 70 — pF VGS = 0
Reverse transfer capacitance Crss — 13 — pF f = 1 MHz
Turn-on delay time td(on) — 20 — ns ID = 2.5 A
Rise time tr — 15 — ns VGS = 10 V
Turn-off delay time td(off) — 65 — ns RL = 100 Ω
Fall time tf — 15 — ns Rg = 10 Ω
Total gate charge Qg — 15 — nC VDD = 400 V
Gate to source charge Qgs — 3 — nC VGS = 10 V
Gate to drain charge Qgd — 8 — nC ID = 5 A
Body-drain diode forward
V
DF
voltage
Body-drain diode reverse
trr — 400 — ns IF = 5 A, VGS = 0
recovery time
Body-drain diode reverse
Qrr — 1.5 — µC diF/dt = 100 A/µs
recovery charge
Note: 4. Pulse test
500 — — V ID = 10 mA, VGS = 0
—— ±0.1 µAV
—— 1 µAV
= ±30 V, VDS = 0
GS
= 500 V, VGS = 0
DS
3.0 — 4.0 V VDS = 10 V, ID = 1 mA
— 1.1 1.5 Ω ID = 2.5 A, VGS = 10 V
— 0.85 1.3 V IF = 5 A, VGS = 0
Note4
Note4
3

2SK3233
Main Characteristics
Power vs. Temperature Derating
40
30
20
10
Channel Dissipation Pch (W)
0
50 100 150 200
Case Temperature Tc (°C)
Typical Output Characteristics
10
Pulse Test
6 V
8 V
8
10 V
5.5 V
100
Maximum Safe Operation Area
30
10
(A)
D
3
1
0.3
Operation in
Drain Current I
0.1
this area is
limited by R
0.03
Ta = 25°C
0.01
1310
Drain to Source Voltage V
Typical Transfer Characteristics
10
V = 10 V
DS
Pulse Test
8
30
1 ms
°C)
100
PW = 10 ms (1shot)
DC Operation (Tc = 25
DS(on)
100 µs
300
DS
10 µs
1000
(V)
(A)
D
6
4
Drain Current I
2
0
4
V = 4V
GS
10 20 30 40 50
Drain to Source Voltage V
DS
5 V
4.5 V
(V)
(A)
D
6
4
Drain Current I
2
0
Tc = 75°C
246810
Gate to Source Voltage V
25°C
–25°C
GS
(V)

2SK3233
Drain to Source Saturation Voltage vs.
Gate to Source Voltage
20
Pulse Test
(V)
16
DS(on)
12
8
4
Drain to Source Saturation Voltage
V
0
24
I = 5 A
D
6
2 A
1 A
810
Gate to Source Voltage VGS (V)
Static Drain to Source on State Resistance
vs. Temperature
5
Pulse Test
(Ω)
V = 10 V
4
GS
DS(on)
3
I = 5 A
D
2
2 A
1
R
0
Static Drain to Source on State Resistance
–40 0 40 80 120 160
1 A
Case Temperature Tc (°C)
Static Drain to Source on State Resistance
vs. Drain Current
5
Pulse Test
(Ω)
V = 10 V, 15 V
GS
2
DS(on)
1
0.5
0.2
Drain to Source on State Resistance
R
0.1
210
0.1 0.5
0.2
1
5
Drain Current ID (A)
Forward Transfer Admittance vs.
Drain Current
50
20
10
Tc = –25°C
5
2
1
25°C
75°C
0.5
DS
0.2
Forward Transfer Admittance |yfs| (S)
0.1
0.2 1 2 10 20
0.1
0.5 5
Drain Current I
V = 10 V
Pulse Test
(A)
D
5020
50
5

2SK3233
Body-Drain Diode Reverse
Recovery Time
1000
500
200
100
50
20
Reverse Recovery Time trr (ns)
10
0.3 1 3 10 30 100
0.1
di / dt = 100 A / µs
V = 0, Ta = 25°C
GS
Reverse Drain Current IDR (A)
Typical Capacitance vs.
Drain to Source Voltage
5000
2000
1000
500
200
100
50
Ciss
Coss
Capacitance C (pF)
20
10
5
Crss
0 50 100 150 200 250
Drain to Source Voltage VDS (V)
V = 0
GS
f = 1 MHz
1000
I = 5 A
D
(V)
800
DS
V = 100 V
DD
600
Dynamic Input Characteristics
V
DS
400
200
Drain to Source Voltage V
0
V = 400 V
DD
250 V
100 V
10 20 30 40 50
Gate Charge Qg (nC)
Switching Characteristics
V = 10 V, V = 250 V
GS
DD
PW = 10 µs, duty < 1 %
R =10 Ω
G
t
d(off)
t
f
t
d(on)
t
r
0.3 1 3 10 30 100
Drain Current I
(A)
D
(V)
GS
1000
500
200
20
V
GS
250 V
400 V
16
12
100
8
50
Switching Time t (ns)
4
Gate to Source Voltage V
0
20
10
0.1
6

2SK3233
Reverse Drain Current vs.
Source to Drain Voltage
10
(A)
8
DR
5, 10 V
6
4
2
Reverse Drain Current I
0
0.4 0.8 1.2 1.6 2.0
Source to Drain Voltage V
V = 0 V
GS
Pulse Test
SD
(V)
Gate to Source Cutoff Voltage
vs. Case Temperature
5
V = 10 V
DS
(V)
4
I = 10mA
GS(off)
D
3
2
1
Gate to Source Cutoff Voltage
V
0
-50 0 50 100 150 200
Case Temperature Tc (°C)
1mA
0.1mA
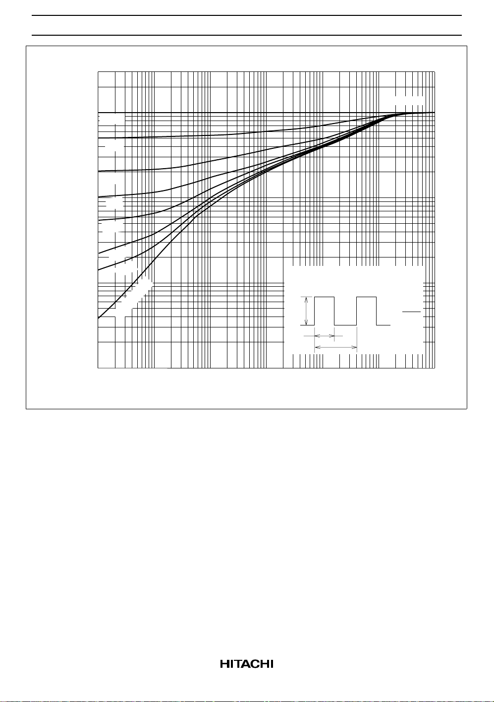
Switching Time Test Circuit Waveform
Vin Monitor
Vout
Monitor
D.U.T.
R
Vin
10 V
10Ω
L
V
DD
= 250 V
Vin
Vout
10%
10%
90%
td(on)
tr
90%
td(off)
90%
10%
t
f
7

2SK3233
3
1
D = 1
s (t)
γ
0.03
0.01
Normalized Transient Thermal Impedance
0.003
0.3
0.1
0.5
0.2
0.1
0.05
0.02
0.01
1shot pulse
Normalized Transient Thermal Impedance vs. Pulse Width
Tc = 25°C
θ γ θ
ch – c(t) = s (t) • ch – c
θ
ch – c = 4.17°C/W, Tc = 25°C
P
DM
PW
T
D =
PW
T
0.001
10 µ
100 µ 1 m 10 m 100 m 1 10
Pulse Width PW (s)
8

2SK3233
Cautions
1. Hitachi neither warrants nor grants licenses of any rights of Hitachi’s or any third party’s patent,
copyright, trademark, or other intellectual property rights for information contained in this document.
Hitachi bears no responsibility for problems that may arise with third party’s rights, including
intellectual property rights, in connection with use of the information contained in this document.
2. Products and product specifications may be subject to change without notice. Confirm that you have
received the latest product standards or specifications before final design, purchase or use.
3. Hitachi makes every attempt to ensure that its products are of high quality and reliability. However,
contact Hitachi’s sales office before using the product in an application that demands especially high
quality and reliability or where its failure or malfunction may directly threaten human life or cause risk
of bodily injury, such as aerospace, aeronautics, nuclear power, combustion control, transportation,
traffic, safety equipment or medical equipment for life support.
4. Design your application so that the product is used within the ranges guaranteed by Hitachi particularly
for maximum rating, operating supply voltage range, heat radiation characteristics, installation
conditions and other characteristics. Hitachi bears no responsibility for failure or damage when used
beyond the guaranteed ranges. Even within the guaranteed ranges, consider normally foreseeable
failure rates or failure modes in semiconductor devices and employ systemic measures such as failsafes, so that the equipment incorporating Hitachi product does not cause bodily injury, fire or other
consequential damage due to operation of the Hitachi product.
5. This product is not designed to be radiation resistant.
6. No one is permitted to reproduce or duplicate, in any form, the whole or part of this document without
written approval from Hitachi.
7. Contact Hitachi’s sales office for any questions regarding this document or Hitachi semiconductor
products.
Hitachi, Ltd.
Semiconductor & Integrated Circuits.
Nippon Bldg., 2-6-2, Ohte-machi, Chiyoda-ku, Tokyo 100-0004, Japan
Tel: Tokyo (03) 3270-2111 Fax: (03) 3270-5109
URL NorthAmerica : http://semiconductor.hitachi.com/
Europe : http://www.hitachi-eu.com/hel/ecg
Asia : http://sicapac.hitachi-asia.com
Japan : http://www.hitachi.co.jp/Sicd/indx.htm
For further information write to:
Hitachi Semiconductor
(America) Inc.
179 East Tasman Drive,
San Jose,CA 95134
Tel: <1> (408) 433-1990
Fax: <1>(408) 433-0223
Hitachi Europe GmbH
Electronic Components Group
Dornacher Straβe 3
D-85622 Feldkirchen, Munich
Germany
Tel: <49> (89) 9 9180-0
Fax: <49> (89) 9 29 30 00
Hitachi Europe Ltd.
Electronic Components Group.
Whitebrook Park
Lower Cookham Road
Maidenhead
Berkshire SL6 8YA, United Kingdom
Tel: <44> (1628) 585000
Fax: <44> (1628) 585160
Hitachi Asia Ltd.
Hitachi Tower
16 Collyer Quay #20-00,
Singapore 049318
Tel : <65>-538-6533/538-8577
Fax : <65>-538-6933/538-3877
URL : http://www.hitachi.com.sg
Hitachi Asia Ltd.
(Taipei Branch Office)
4/F, No. 167, Tun Hwa North Road,
Hung-Kuo Building,
Taipei (105), Taiwan
Tel : <886>-(2)-2718-3666
Fax : <886>-(2)-2718-8180
Telex : 23222 HAS-TP
URL : http://www.hitachi.com.tw
Copyright Hitachi, Ltd., 2000. All rights reserved. Printed in Japan.
10
Hitachi Asia (Hong Kong) Ltd.
Group III (Electronic Components)
7/F., North Tower,
World Finance Centre,
Harbour City, Canton Road
Tsim Sha Tsui, Kowloon,
Hong Kong
Tel : <852>-(2)-735-9218
Fax : <852>-(2)-730-0281
URL : http://www.hitachi.com.hk
Colophon 2.0