
8212 JH4
Nenndaten
Typ 8212 JH4
Nennspannung VDC 12
Nennspannungsbereich VDC 6 .. 13.8
DC-Axiallüfter
ebm-papst St. Georgen GmbH & Co. KG
Hermann-Papst-Straße 1
D-78112 St. Georgen
Phone +49 7724 81-0
Fax +49 7724 81-1309
info2@de.ebmpapst.com
www.ebmpapst.com
Drehzahl min-114000
Leistungsaufnahme W 39
Min. Umgebungstemperatur °C -20
Max. Umgebungstemperatur °C 70
Volumenstrom m3/h 222
Schallleistungspegel B 7,8
Schalldruckpegel dB(A) 71
mb = max. Belastung · mw = max. Wirkungsgrad · fb = freiblasend · kv = Kundenvorgabe · kg = Kundengerät
Änderungen vorbehalten
Webdatenblatt D · Seite 1 von 4
ebm-papst St. Georgen GmbH & Co. KG · Hermann-Papst-Straße 1 · D-78112 St. Georgen · Phone +49 7724 81-0 · Fax +49 7724 81-1309 · info2@de.ebmpapst.com · www.ebmpapst.com

8212 JH4
DC-Axiallüfter
Technische Beschreibung
Abmessungen 80 x 80 x 38 mm
Allgemeine Beschreibung Besonderheiten:
Drucksteife Kennlinie für hohen Volumenstrom bei hohem Gegendruck.
Innovatives Lüfterrad mit Winglets für niedriges Geräusch.
Optional Vario-Pro: Hochflexible Softwarekonfiguration des Lüfters ermöglicht eine
maßgeschneiderte Lösung der individuellen Anforderungen Ihrer Anwendung.
Allgemeine Eigenschaften:
Material: Glasfaserverstärkter Kunststoff. Lüfterrad PA, Gehäuse PBT.
Elektronische Kommutierung vollständig integriert.
Geschützt gegen Verpolung und Blockieren.
Anschluss über Einzellitzen AWG 24 (H3 und H4: AWG 22), TR 64, abisoliert und verzinnt.
Über Stege blasend. Drehrichtung auf Rotor gesehen links.
Masse: 160 g (H3 und H4: 200 g).
Anschlussleitung Einzellitzen AWG 22, TR 64, abisoliert und verzinnt.
Drehrichtung Links, auf Rotor gesehen
Förderrichtung Über Stege blasend
Lagerung Kugellager
Lebensdauer L10 bei 40 °C 50000 h
Lebensdauer L10 bei max.
Temperatur
Masse 0,200 kg
Material Gehäuse Glasfaserverstärkter Kunststoff PBT
Material Laufrad Glasfaserverstärkter Kunststoff PA
Motorschutz Geschützt gegen Verpolung und Blockieren.
25000 h
Webdatenblatt D · Seite 2 von 4
ebm-papst St. Georgen GmbH & Co. KG · Hermann-Papst-Straße 1 · D-78112 St. Georgen · Phone +49 7724 81-0 · Fax +49 7724 81-1309 · info2@de.ebmpapst.com · www.ebmpapst.com

8212 JH4
Produktzeichnung
DC-Axiallüfter
Webdatenblatt D · Seite 3 von 4
ebm-papst St. Georgen GmbH & Co. KG · Hermann-Papst-Straße 1 · D-78112 St. Georgen · Phone +49 7724 81-0 · Fax +49 7724 81-1309 · info2@de.ebmpapst.com · www.ebmpapst.com

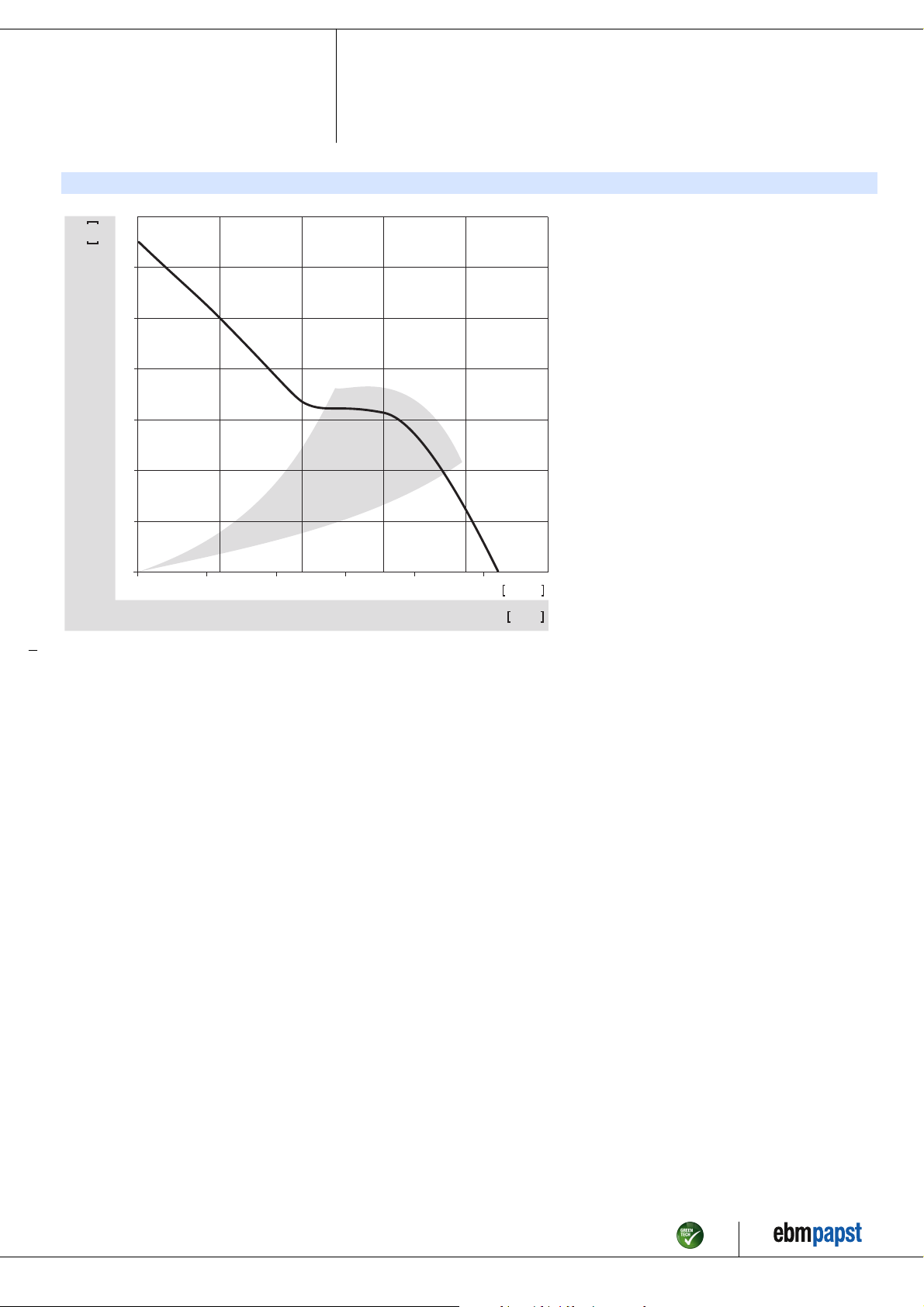
8212 JH4
250
50
p
f
100
200
100
S
S
D
m³/h
Pa
V
•
500
600
50 75
300
400
150
100 125
200
CFM
1,2 1,6
2,0
0,8
0,4
(in H O)
²
Kennlinien: Luftleistung
DC-Axiallüfter
Webdatenblatt D · Seite 4 von 4
ebm-papst St. Georgen GmbH & Co. KG · Hermann-Papst-Straße 1 · D-78112 St. Georgen · Phone +49 7724 81-0 · Fax +49 7724 81-1309 · info2@de.ebmpapst.com · www.ebmpapst.com