Hisense MSD308PX Schematic

Page 1
LCD Television
Service Manual
Chassis MSD308PX
K15 Series
Hisense Electric Co.Ltd.
September2011
Page 2
Contents
Contents.......................................................................................................................................................................- 2 -
Service Manual ...........................................................................................................................................................- 3 -
1. Precautions and notices.....................................................................................................................................- 3 -
1.1 Warning...................................................................................................................................................- 4 -
1.2 Notes.......................................................................................................................................................- 7 -
2. Product Specifications:...................................................................................................................................- 10 -
2.1 Specification:........................................................................................................................................- 10 -
2.2 Main Board:..........................................................................................................................................- 12 -
K15 Series...................................................................................................................................................- 12 -
2.3 Wiring Diagram:...................................................................................................................................- 13 -
3. Factory/Service OSD Menu and Adjustment..................................................................................................- 14 -
3.1 T o enter the Factory OSD Menu...........................................................................................................- 14 -
3.2 Factory OSD Menu...............................................................................................................................- 14 -
4. Software Upgrading........................................................................................................................................- 16 -
4.1 Upgrading with the ISP_TOOL............................................................................................................- 16 -
4.2 Upgrading with the USB ......................................................................................................................- 20 -
5. Circuit instruction...........................................................................................................................................- 21 -
5.1 Power assign and block diagram ..........................................................................................................- 21 -
5.2 Image and signal process......................................................................................................................- 22 -
5.3 Troubleshooting....................................................................................................................................- 28 -
6. Explode View..................................................................................................................................................- 35 -
7. Schematic circuit diagram..............................................................................................................................- 35 -
- 2 -
Page 3
Service Manual
1. Precautions and notices
BEFORE SERVICING THE LCD TV, READ THE SAFETY PRECAUTIONS IN
THIS MANUAL.
WHEN REPLACEMENT PARTS ARE REQUIRED, BE SURE TO USE
REPLACEMENT PARTS SPECIFIED BY THE MANUFACTURER.
Proper service and repair is important to the safe, reliable operation of all Hisense
Electric Co., Ltd Equipment. The service procedures recommended by Hisense and
described in this Service Guide are effective methods of performing service operations.
Some of these service operations require the use of tools specially designed for the
purpose. The special tools should be used when and as recommended.
It is important to note that this manual contains various CAUTIONS and NOTICES
which should be carefully read in order to minimize the risk of personal injury to service
personnel. The possibility exists that improper service methods may damage the
equipment. It is also important to understand that these CAUTIONS and NOTICES ARE
NOT EXHAUSTIVE. Hisense could not possibly know, evaluate and advise the service
trade of all conceivable ways in which service might be done or of the possible
hazardous consequences of each way. Consequently, Hisense has not undertaken any
- 3 -
Page 4
such broad evaluation. Accordingly, a serviceman that uses a service procedure or tools,
which are not recommended by Hisense, must first satisfy himself thoroughly that
neither his safety nor the safe of the equipment will be jeopardized by the service
method selected.
Hereafter throughout this manual, Hisense Electric Co., Ltd will be referred to as
Hisense.
1.1 Warning
1.1.1
Critical components having special safety characteristics are identified with a
by the
Ref. No. in the parts list. Use of substitute replacement parts, which do not have the
same specified safety characteristics, may create shock, fire, or other hazards.
Under no circumstances should the original design be modified or altered without
written permission from Hisense. Hisense assumes no liability, express or implied,
arising out of any unauthorized modification of design. Serviceman assumes all liability.
DANGER CAUTION
TO ENSURE THE CONTINUED RELIABILITY OF THIS PRODUCT, USE ONLY ORIGINAL MANUFACTURER'S REPLACEMENT PARTS, WHICH ARE LISTED WITH THEIR PART NUMBERS IN THE PARTS LIST SECTION OF THIS SERVICE GUIDE.
1.1.2.
All ICs and many other semiconductors are susceptible to electrostatic discharges (ESD).
- 4 -
Page 5
Careless handling during repair can reduce life drastically. When repairing, make sure
that you are connected with the same potential as the mass of the set by a wristband with
resistance. Keep components and tools also at this same potential.
1. Never replace modules or other components while the unit is switched on.
2. When making settings, use plastic rather than metal tools. This will prevent any
short circuits and the danger of a circuit becoming unstable.
1.1.3
To prevent electrical shock, do not use this polarized ac plug with an extension cord,
receptacle, or the outlet unless the blades can be fully inserted to prevent blade exposure.
To prevent electrical shock, match wide blade or plug to wide slot, fully insert.
1.1.4
When replacement parts are required, be sure to use replacement parts specified by the
manufacturer or have the same characteristics as the original part. Unauthorized
substitutions may result in fire, electric shock, or other hazards.
1.1.5
Safety regulations require that after a repair the set must be returned in its original
condition. In particular attention should be paid to the following points.
-Note: The wire trees should be routed correctly and fixed with the mounted cable
clamps.
-The insulation of the mains lead should be checked for external damage.
1.1.6
- 5 -
Page 6
(1) Do not touch Signal and Power Connector while this product operates. Do not
touch EMI ground part and Heat Sink of Film Filter.
(2) Do not supply a voltage higher than that specified to this product. This may damage
the product and may cause a fire.
(3) Do not use this product in locations where the humidity is extremely high, where it
may be splashed with water, or where flammable materials surround it. Do not install
or use the product in a location that does no satisfy the specified environmental
conditions. This may damage the product and may cause a fire.
(4) If a foreign substance (such as water, metal, or liquid) gets inside the panel module,
immediately turn off the power. Continuing to use the product may cause fire or
electric shock.
(5) If the product emits smoke, and abnormal smell, or makes an abnormal sound,
immediately turn off the power. Continuing to use the product, it may cause fire or
electric shock.
(6) Do not disconnect or connect the connector while power to the product is on. It
takes some time for the voltage to drop to a sufficiently low level after the power has
been turned off. Confirm that the voltage has dropped to a safe level before
disconnecting or connecting the connector.
(7) Do not pull out or insert the power cable from/to an outlet with wet hands. It may
cause electric shock.
(8) Do not damage or modify the power cable. It may cause fire or electric shock.
- 6 -
Page 7
(9) If the power cable is damaged, or if the connector is loose, do not use the product:
otherwise, this can lead to fire or electric shock.
(10) If the power connector or the connector of the power cable becomes dirty or dusty,
wipe it with a dry cloth. Otherwise, this can lead to fire.
(11) Use only with the cart, stand, tripod, bracket, or table specified by the
manufacturer, or sold with the apparatus. When a cart is used, use caution when
moving the cart/apparatus combination to avoid injury from tip-over.
1.2 Notes
Notes on Safe Handling of the LCD panel and during service
The work procedures shown with the Note indication are important for ensuring the
safety of the product and the servicing work. Be sure to follow these instructions.
• Before starting the work, secure a sufficient working space.
• At all times other than when adjusting and checking the product, be sure to turn OFF
the POWER Button and disconnect the power cable from the power source of the TV
during servicing.
• To prevent electric shock and breakage of PC board, start the servicing work at least 30
seconds after the main power has been turned off. Especially when installing and
removing the power board, start servicing at least 2 minutes after the main power has
been turned off.
• While the main power is on, do not touch any parts or circuits other than the ones
- 7 -
Page 8
specified. If any connection other than the one specified is made between the measuring
equipment and the high voltage power supply block, it can result in electric shock or
activation of the leakage-detection circuit breaker.
• When installing the LCD module in, and removing it from the packing carton, be sure
to have at least two persons perform the work.
• When the surface of the panel comes into contact with the cushioning materials, be
sure to confirm that there is no foreign matter on top of the cushioning materials before
the surface of the panel comes into contact with the cushioning materials. Failure to
observe this precaution may result in, the surface of the panel being scratched by foreign
matter.
• When handling the circuit board, be sure to remove static electricity from your body
before handling the circuit board.
• Be sure to handle the circuit board by holding the large parts as the heat sink or
transformer. Failure to observe this precaution may result in the occurrence of an
abnormality in the soldered areas.
• Do not stack the circuit boards. Failure to observe this precaution may result in
problems resulting from scratches on the parts, the deformation of parts, and
short-circuits due to residual electric charge.
• Routing of the wires and fixing them in position must be done in accordance with the
original routing and fixing configuration when servicing is completed. All the wires are
routed far away from the areas that become hot (such as the heat sink). These wires are
- 8 -
Page 9
fixed in position with the wire clamps so that the wires do not move, thereby ensuring
that they are not damaged and their materials do not deteriorate over long periods of time.
Therefore, route the cables and fix the cables to the original position and states using the
wire clamps.
• Perform a safety check when servicing is completed. Verify that the peripherals of the
serviced points have not undergone any deterioration during servicing. Also verify that
the screws, parts and cables removed for servicing purposes have all been returned to
their proper locations in accordance with the original setup.
The lightning flash with arrowhead symbol, within an equilateral
triangle is intended to alert the user to the presence of uninsulated
dangerous voltage within the products enclosure that may be of sufficient magnitude to
constitute a risk of electric shock.
The exclamation point within an equilateral triangle is intended to alert
the user to the presence of important operating and maintenance (servicing)
instructions in the literature accompanying the set.
- 9 -
Page 10
2. Product Specifications:
2.1 Specification:
LHDN32K15/16CEU
- 10 -
Page 11
LTDN24K15CEU
- 11 -
Page 12
2.2 Main Board:
K15 Series
LVDS OUT
DDR2512M
Main IC MSD308
DDR2512M
Flash
HDMI
Digital Audio AMP
VGA
SCART
Y/Video PB PR L R
PC Audio IN
Note
actual units to determine the boards.
The above Main board imageis only take LHDN32K15CEU for example, others please refer to the
Earphone
USB
- 12 -
Page 13
2.3 Wiring Diagram:
LHDN 32K15CEU’’
Model Panel Mode LVDS(Main-Panel)
LTDN24K15CEU M236H3-LA2\V236H1-LE2 HX2-2X20KLB400P-CMO\ROH
LHDN32K15/K16CEU HE315DH-E02(S3)\ROH HX2-2×15KLB400P-HS-1\ROH
LHDN32K15CEU(1) HE315DH-E06\S3\ROH Same to LHDN32K15
- 13 -
Page 14
3. Factory/Service OSD Menu and Adjustment
3.1 To enter the Factory OSD Menu
a. With factory RC (remote control)
1. Press “M” button and enter factory mode.(Note1)
2. Press “Menu” button and enter factory OSD menu.
3. Press “CH+”/“CH-” button select the function menu, press “VOL+”/“VOL-” enter the selected function menu. Press “VOL+”/“VOL-” button adjust values in the menu.
4. Press “M” button exit factory mode in the factory OSD menu. When TV outgoing factory, user can not enter factory OSD menu with Factory Remote Note:
1. In the “Factory Menu”, item “Function”->”TOFAC” ,you can select “M” or “U”, default is “U”.
----M-Means you can enter factory mode with factory RC or user RC.
----U-Means you can enter factory mode only with user’s RC.
2. Mode “M” is only used for factory production.
b. With user’s RC
Power on the TV.
1. Press “Menu” button and call up User OSD Menu.
2. Select “ Sound” -> “Balance” item.
3. Press number key 1->9->6 ->9 in sequence when “Balance” item is focused. Note: If necessary, re-do number keys.
4. Factory OSD appears.
Note: Press the standby button then AC turn off and restart the TV, which can exit factory OSD menu.
3.2 Factory OSD Menu
The Factory OSD Menu comprises Factory Menu and Design Menu .
3.2.1Factory Menu
- 14 -
Page 15
Factory Menu
White Balance ADC Calibration Funtion Lnit Test Pattern Version Clear protectly Clear unprotectly
White Balance
R-DRV: G- DRV: B- DRV R-CUT: G- CUT: B- CUT: Color Temp: Medium Panel Set : B1
Function
TO FAC : M or U Power Mode Save Software Update LOGO: Hisense OSD language: English WDT: ON UART Debug : None
3.2.2Design Menu
Design Menu
Picture Mode Audio Mode Picture Curve Audio Curve SSC Adjust Saving Mode Overscan Not Stand
Note
The above Factory/Service OSD Menu are re ference only, please refer to the actua l units
to determine the appearances.
- 15 -
Page 16
4. Software Upgrading
4.1 Upgrading with the ISP_TOOL
4.1.1 Hardware connecting You can update the software through a special tool (as following) Connect the Debug board to the TV use VGA interface or the RS232 (4 pin), the other USB port to the compute.
4.1.2 Install the ISP_TOOL4.5.0.4-------only for the first time update.
1The software is upgraded by a burning tool- ISP_TOOL.exe
2Find the folder where the ISP_TOOL4.5.0.4 lies in.
There are three folders/files in this folder together. DLPORTIO.dll and FTD2XX.DLL must be in the same folder
3Double click the ISP_TOOL4.5.0.4 icon, and then a dialog window will show as below.
- 16 -
Page 17
4Click the” Config “button. And then a dialog window will show as below.
Draw on the front of “Use USB” Port Type setting is USB Base Addr setting is 0x38C ISP Slave Address choose 0x92 Serial Debug Slave Address choose 0xB2
5、Click the “Connect”button,if appear the following figure, It indicates that the ISP_TOOL has
- 17 -
Page 18
connected.(According to the tv set,”Device Type” maybe different.)
If appear the following figureIt indicates that the ISP_TOOL has not connected. Please click the“DisCon”button and “Connect”button to connect..
6Click the“Read ”buttonChoose the correct update file
7After the update file has been chosen successfully Click the“Auto”button and choose parameters as following
- 18 -
Page 19
8Click the “Run” button and wait update end. If show any error message then do “Dis Con” >> “Connect”and click the “Run” button againtill show the following dialog window
- 19 -
Page 20
4.2 Upgrading with the USB
Software can update with USB device:
1. Copy the “*.BIN” file such as “MERGE.BIN” to the root directory of a USB disk.
2. Insert the USB disk into the USB slot of the TV SET.
3. Press “Menu” button and call up User OSD Menu,choose "Channel"->”Software Update(USB)” item. (Note 1)
4. Press “OK”, it will show a confirm message box, Press [] button to select “yes” in the confirm message box, to start automatic update.
5. Then it will update the software automatically,Please don’t power off during the updating process.
6. After the software is successfully upgraded,TV SET will restart automatically.
Note:
1. In some TV SET, ”Software Update(USB)” item maybe in “OPTION” menu.
2.After updating, you must confirm the software version in the “Factory Menu” and you'd better do a " UnProtected Clear" in the “Factory Menu”.
- 20 -
Page 21
5. Circuit instruction
5.1 Power assign and block diagram
Power assign:
The Power only has +12V_IN output ,other voltages are converted from +12V_IN. a. 5Vstb is converted by N19 from +12V_IN5VAIN and 5V_USB are converted by N43 from 5Vstb. b. 3.3Vstb and 3.3V_mcu as standby power supply for standby mode. c. 3.3V_Normal supply power for N5 and Main IC N46 is converted by N3 from 5VAIN; 2.5V_Normal supply
power for N46 is converted by N13 from 5VAIN; VDDC(1.28V) supply power for main IC(core voltage) is converted by N1 from 5VAIN;1.8VA supply power for N41(DDR),N45(DDR) is converted by N15 from 5VAIN.
e VCC_A supply power for N17(audio amplifier) is converted by N42 from +12V_IN; 5V_Tuner supply
power for Tuner is converted by N16 from +12V; 5V_USB supply power for USB interface.
f VCC-Panel supply power for Panel is converted by N14 from +12V_IN
Block diagram:
+12V
5Vstb
+12V_IN
IRF7314
N42
NB637
N19
STPB2012(L10)
AO4459(N14)
78D05(N16)
IRF7314(N43)
LD1117-3.3
(N2)
VCC _A
VCC-Panel
200mA
5V_Tuner
5VAIN
3.3Vstb
TAS5707(N17)
Panel
FH2610(U42)
380mA
3.3V_mcu
MP1482(N1)
STPB2012
(L46)
5VAIN
FOR STANDBY
FOR STANDBY
1100mA
VDDC
1000mA
5V_USB
500mA
MSD309PX
(N46)
(SH2)
AP1084D-3.3
(N3)
AZ1084S-ADJ
(N15)
LD1117A-2.5
(N13)
3.3V_Normal
1.8VA
2.5V_Normal
(N46,N5)
(N41,N45)
(N46)
- 21 -
Page 22
5.2 Image and signal process
POWER SUPPLY UNIT
SPEAKER(OUT)
HDMI
Amplyfier
HDMI SIGNAL
Panel
LVDS
MSD308PX
TUNER
(FH2610)
DIF
VIF
HS3611
TS
PCMCIA INTERFACE
USB INPUT
AUDIO OUT
REMOTE INFUT SIGNAL
I2C
SCART(CVBS and RGB IN
CVBS OUT,AUDIO IN/OUT)
EARPHONE OUTPUT
REMOTE CONTRAL INPUT
EEPROM
HDCP
DDR
FLASH
HDCP INFO
BUS(DATA,ADDRESS)
BUS(DATA,ADDRESS)
VGA INTERFACE
VIDEO INPUT(YPbPr and
CVBS,AUDIO IN)
a) RF Signal
Digital intermediate frequency and simulation intermediate frequency are processed by Tuner (U42) from RF Signal. Transport Stream is demodulated directly by main IC from Digital intermediate frequency then enter PCMCIA card to decipher later return the main IC. The simulation intermediate signal that has passed amplification and surface acoustic wave filter to get intermediate frequency enters the main IC. After processed by main IC, next the video signal is processed by SCALER output LVDS signal.to panel . The audio signal is processed and the Audio amplified to the Speakers.
b). AV Signal
The video signal of AV and YPbPr share the same Terminal of XS13then enter U46.
- 22 -
Page 23
XS13
SIGNAL1
绿
SIGNAL3
SIGNAL4
SIGNAL6
SIGNAL7
SIGNAL9
GND
GND
GND
1 3 2
4
HD1_Pb
HD1_Pb
6 5
7
HD1_Pr HD1_PrHD1_PrHD1_PrHD1_PrHD1_Pr
9 8
HD1_Y /AV
RV98
ASES12U020R2/NC
RV99
ASES12U020R2/NC
R862
0R R861
0R R860
RV105
0R
ASES12U020R2/NC
R345
C214
75R
560p/50V/NC
C207 560p/50V/NC
The CVBS video signal of SCART input the Terminal of XS7, then enter U46. The RGB video signal of SCART input the Terminal of XS7, then enter U46
XS7
GGND
RGND
BLANK
BLANKGN D
SHIELD
AOR
AIR
AOL AGND BGND
AIL SW
CLK
DATA
GND
R/C
VGND
VOUT
V/YIN
1 2 3 4 5 6 7
B
8 9 10 11
G
12 13 14 15 16 17 18 19 20 21
AV_ROUT AUR_AV1 AV_LOUT
AUL_AV1 SC-B SC-FS
SC-G
SC-R SC-FB
AV_out AV1
SCART_MODE
SCART_FB_SUB
R350 75R
C208
R399
560p/50V/NC
75R
SCART_RGB
SC-G SC-B SC-R
RV74
AVLC18S02015
RV87
AVLC18S02015
SC-FB SC_FB
AVLC18S02015
R421
RV73
0R
AVLC18S02015
SC-FS SC_FS
R420
RV79
8.2k
AVLC18S02015
RV64
R485
75R
R479
75R
75R
R509
R511
75R
SC_FB 2
SC_FS 2
Y1+ 2 PB1+ 2 PR1+ 2
R510
75R
- 23 -
Page 24
+
+
SCART_CVBS_in
RV31
AVLC18S02015
Scart Audio
RV36
AVLC18S02015
AUR_AV1
RV37
AVLC18S02015
R254
AUL_AV1
10k
c) VGA Signal PC(VGA)signal input from XS24 , later enter U46 .
R863
0R/NC
C336 220p/50V/NC
AV1_AUL
R255 12k
R259
AV1_AUR
10k
R236 12k
CVBS0AV1AV1
R504
C339 220p/50V/NC
75R
AV1_AUL 2
AV1_AUR 2
CVBS0
2
XS24
17 16
DDC_SCL
UART-R VGA_BIN+ VGA_GIN+ VGA_RIN+
6 11 1 7 12 2 8 13 3 9 14 4 10 15 5
R218
100R
R533
0R/NC
UART-T VGA_RIN+
DDCSDA
VGA_GIN+
VGA_HS VGA_BIN+
VGA5V
VGA_VS
UART-R DDCSCL
RV117
AVLC18S02015
UART-RX 2
AVLC18S02015
RV75
RV76
AVLC18S02015
R235 75R
R493 75R
VGA_BIN+ VGA_GIN VGA_RIN
R528 75R
- 24 -
Page 25
d) The HDMI and USB signals directly input U46. e) SCART CVBS output from U46 pass through the following amplified circuit .output from XS7
SCART_CVBS_out
5VAIN
AV_OUTAV_OUTAV_OUT AV_OUTAV_OUT
RV51
AVLC18S02015
L9
R208
BLM18PG181SN1
0R/NC
C830
330u/6V
C199 560p/50V/NC
C194
MMBT3906LT1
100n/25V
R204
75R/NC
2
3
V18
1
R243
150R
R260 150R
R246 330R
V19
3
1
MMBT3904LT1
2
R241 150R
f) Audio Signal (except HDMI and USB)
VGA audio input through XS6, AV and YPbPr Audio input share the same terminal XS14
XS14
SIGNAL1 SIGNAL3
GND
SIGNAL4 SIGNAL6
GND
1 3 2
4 6 5
HD1/AV-L
R406
10k
RV103
ASES12U020R2/NC
R316 12k
RV104
C209 560p/50V
ASES12U020R2/NC
R336
10k
R256 47k
C831
100u/16V
R226 33k
R361 12k
CVBSOut
C210 560p/50V
CVBSOUT 2
HD2_AUL
HD2_AURHD1/AV-R
HD2_AUL 2
HD2_AUR 2
Audio output
After audio signal was processed by the main IC, outputting digital audio signal that enter I2S and TAS5707
to amplify processing ,finally output to Speakers or soundbars
.
g) Control Process
The Power only has 12V(+12V_IN) output other voltages are converted from 12V(+12V_IN). N43 and N42 can interrupt other voltages while standby, only reserve standby 5V(5Vstb) and standby 12V(+12V_IN). as following. When TV Power on , PWR-ON/OFF Signal is Low level, 5VAIN Power supply normally ; otherwise when TV standby , N43 is shut off , 5VAIN Power _supply is low.
+12V standby signal control as similar as 5VAIN
- 25 -
Page 26
5Vstb
PWR-ON
+12V_IN
1
+12V_IN
5Vstb2
R713
4.7k
PWR-ON
C803
10u/16V
R724
4.7k
1
C801
10u/25V
C713 100n/16V
V710
3
MMBT3904LT1
2
V712
1
5Vstb
R720
10k
C712 100n/25V
R722
3
MMBT3904LT1
2
22k
R758 22k
R723 22k
C715 1u/16V
N43
1 2 3
IRF7314AO4801/3
C718 1u/25V
N42
1 2 3
IRF7314AO4801/3
3.3v_mcu
S1
D11
G1
D12
S2
D21
G24D22
S1
D11
G1
D12
S2
D21
G24D22
8 7 6 5
+12V
8 7 6 5
5VAIN
5VAIN 1
C804 100u/16V
L10 FB1206
1 2
C802 100u/25V
VCC-A
VCC-A 1
100u/25V C805
+12V 1
H:Disable
R44 10k
L:Enable(default)
PWR-ON/OFF
PWR-ON/OFF 2
PWR-ON
R10
100R
R7
4.7k
V4
3
1
MMBT 3904LT1
2
R41
R40
0R/NC
10k
C714 100n/16V
Power on, the Panel _Backlight and Brightness are control by the main board . the PIN 4 of XP2 is BL_ON/OFF, the high or low level control the BL_ON/OFF; the PIN 3 of XP2 is BL_ brightness Adjust, through control the level high or low to control the BL_ brightness.
Back light Control
5VAIN
+12V_IN2
R57
4.7k
V45
3
MMBT3904LT1
2
R63
0R
BRI-EXT
R37
R145
1k
10k/NC
BL-ON/OFF
BRI-EXT 9
BL-ADJUST
C77 10u/10V
BL-ADJUST 9
V46
3
2
R330
4.7k/NC
R78
R64
4.7k
R99 0R/NC
4.7k
1
R143
0R/NC R334
ON_PBACK2
ADJ-PWM22
ON_PBACK
ADJ-PWM2
1
MMBT3904LT1
10k
R333
4.7k
V44
3
MMBT3904LT1
2
1
+12V_IN
STB2
BL-ADJUST
Inverter
C78
Connector
1n/50V
STB
XP2
7 6 5 4 3 2 1
- 26 -
Page 27
I2C master. for example :search channels , save the customer setting.and the operation of IR and Keypad.
Also can receive information from the EEPROM (N5 AT24C32N)
EEPROM
1
2
3
4
h) The main control signal, as list:
Control Signal
N5
A0
A1
A2
GND
VCC
WP
SCL
SDA
AT24C32N-10SI-2.7
8
7
6
5
net name
Address:0xA0
0:W rit e Enable
1:W rit e D is a ble
33V_Normal
R173
4.7k
100R
R164
I2C-SCL I2C-SDA 4,9,11,7
4,9,11,7
R157 R175
100R 47R
47R
EEP_VCC
C151 100n/25V
R176
R161
C177 10u/16V
4.7k
WP_EE I2C-SCL
I2C-SDA
R162
4.7k
recommend Remark
Standby signal(Power
control
PWR-ON/OFF
Low level power on
PWR-ON/OFF pass V4
inverse phase
PWR-ON High level power on
BL-control
ON_PBACK High level power on BL-ON/OFF Low level power on
Audio amplify mute MUTE_5707 Low level mute
Backlight contral
ADJ-PWM2
Contral brightness of
Key “0” KEYPAD-KEY0 Key Key “1” KEYPAD-KEY1 Key
Remote control signal IR_IN IR
backlight
- 27 -
Page 28
5.3 Troubleshooting
5.3.1 Troubleshooting for Remote Control
Remote control does not work
Try new batteries
NO
Replace RC
Check IR receiver
YES
YES
Replace battery
Replace remote control
Change Led & IR board
NO
Change Led & IR cable
NO
Replace main board
YES
Replace Led & IR BD
YES
Replace Led & IR cable
- 28 -
Page 29
5.3.2 Troubleshooting for Function Key
Buttons does not work
Check switches
YES
Check solder connections and see if any switches are stuck.
NO
Check key board
NO
Check Key BD cable
YES
Replace Key BD
YES
Change Key BD
OK
NO
Replace main board
- 29 -
Page 30
5.3.3 TV won’t Power On
TV won’t power on
Is LED light?
NO
Check Power Output
YES
Make Sure Power
source is live
YES
NO
BLUE
RED
Panel Bright
NO
YES
Check signal Source
YES
NO
Check Power Cord
NO
Try Power on by
RC and Button
Neither works
Replace Main
BD
YES
Only
one works
Both Work
Replace
Power Cord
Check/replace IR
BD or Keypad
PCA
NO
(to contact Hisense tech support.)
Replace Main BD
Replace Panel
OK
YES
Power on
NO
Replace Power BD
YES
OK
- 30 -
Page 31
5.3.4 Troubleshooting for Audio
No sound
Check connecter
YES
Reconnect
NO
Check speaker wire
NO
Check speaker set
YES
YES
Replace speaker wire
Replace speaker set
NO
Replace main board
NO
YES
OK
Power Supply Board
- 31 -
Page 32
5.3.5 Troubleshooting for TV/VGA/HDMI input
No picture on the screen
NO
Check Signal Source
Make sure signal source is available
YES
Check connect
NO
YES
Check cab l e
NO
Replace main board
Reconnect
Replace cable
- 32 -
Page 33
5.3.6 Troubleshooting for YPbPr input
No picture on the screen
Check Source work or not
YES
Check connect
NO
Check Wires (Green Blue, Red)
NO
Replace main board
NO
YES
YES
Check Source Device
Reconnect
Replace wires
- 33 -
Page 34
5.3.7 Troubleshooting for Video input
No picture on the screen
Check Source work or not
YES
Check connect
NO
Check Cable/ Wires
NO
Replace main board
NO
YES
YES
Check Signal Source
Reconnect
Replace Cable/Wires
- 34 -
Page 35
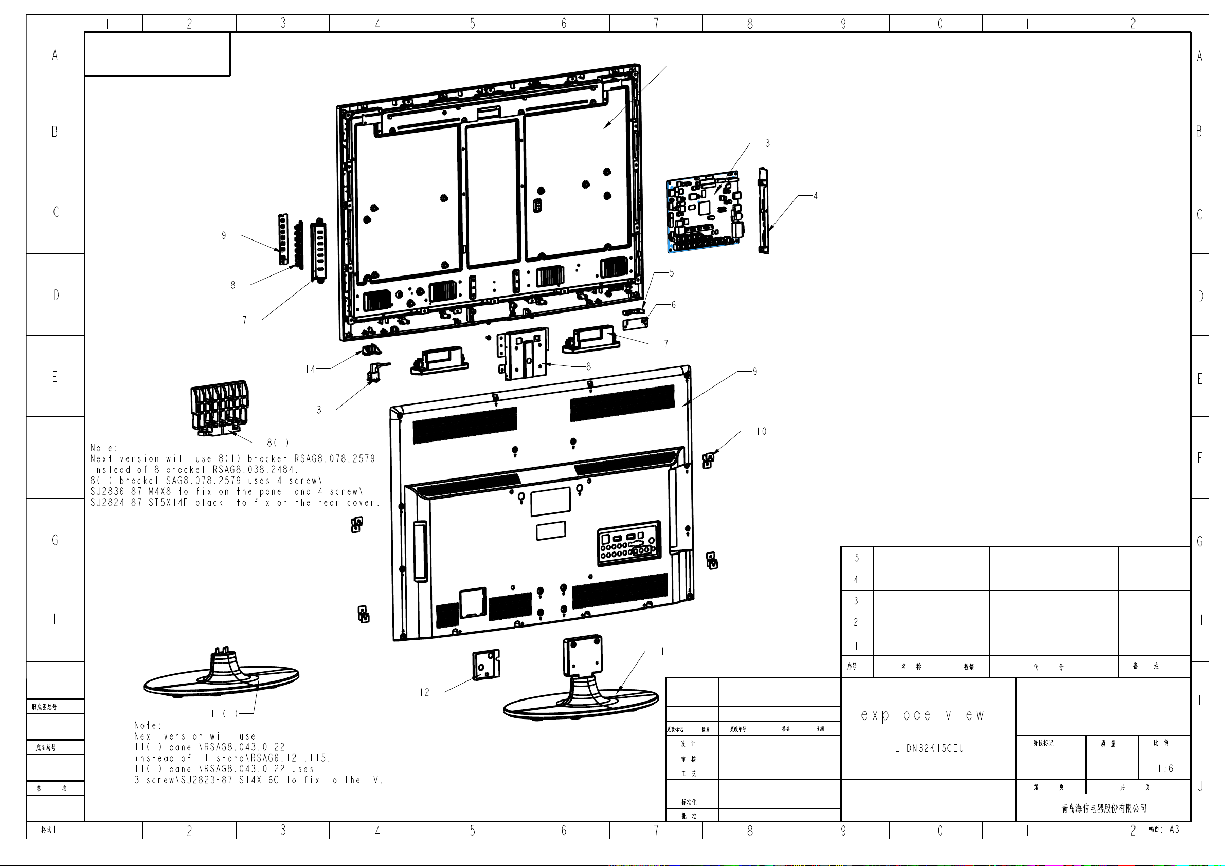
6. Explode View
7. Schematic circuit diagram
- 35 -
Page 36
Page 37
LTDN24K15CEU
2
Led Lens
1
RSAG8.640.0213\ROH
t
11
Bracket
1
RSAG8.078.932\ROH\X0
22
Label
1
RSAG8.804.4247\ROH
No. Description Qty. Code Number Remark
1 Front bezel 1 RSAG8.074.896\FB2\V0\ROH\X0
IR Board
3
1 RSAG2.908.4193-03\ROH
4 Bracket 1 RSAG8.038.2452\ROH
LCD Panel
5 6
Power Board
1 M236H3-LA2\V236H1-LE2\GS\JK\ROH 1 RSAG2.908.2256-52\ROH
7 Bracket 1 RSAG8.078.937\ROH\X0
Keypad PCA (wi
8
1 RSAG2.908.1962\ROH
9 Bracket 1 RSAG8.078.938\ROH\X1
10
Screw
4 SJ2825-87 ST3X12C黑色\ROH\STD
12 13
Power Switch Power Cord
1 HF-606(TV)-P通PS8-12-D-047B\ROH 1 YS-3-8E-2\ROH
(13-1) STAND 1 RSAG6.121.0224\FB2\ROH\X1\SKD
14 Bracket 1 RSAG8.078.946\ROH\X0 15 Bracket 1 RSAG8.600.171\ROH\X0 16 Bracket 1 RSAG8.038.2486\ROH 17 18
19
20 21
23 24
Bottom Label Side Label
Rating Label
Bracket Unit Rear Cover
Bracket Unit Main Board
1 RSAG8.804.4251\ROH 1 RSAG8.804.4250\ROH
See the TV Rear Back.Difference
1
because of Brands
2 RSAG6.150.804\ROH 1 RSAG8.074.1095\B2\V0\ROH\X0
1 RSAG6.150.1052\ROH 1 RSAG2.908.4258-01\ROH
Page 38
25 Bracket 1 RSAG8.038.2453\ROH 26 Bracket 2 RSAG8.038.2485\ROH
Page 39
1
2
3
4
5
6
7
8
9
10
11
12
A
1
B
3
4
C
19
5
18
D
6
17
7
A
B
C
D
E
14
13
Note:
F
Next version will use 8(1) bracket RSAG8.078.2579 instead of 8 bracket RSAG8.038.2484. 8(1) bracket SAG8.078.2579 uses 4 screw \ SJ2836-87 M4X8 to fix on the panel and 4 screw \ SJ2824-87 ST5X14F black to fix on the rear cover.
8(1)
G
H
8
9
E
10
F
G
5
4
3
H
11
2
1
ÐòºÅ
Ãû ³Æ
ÊýÁ¿
´ú ºÅ
±¸ ×¢
¾Éµ×ͼ×ܺÅ
µ×ͼ×ܺÅ
Ç© Ãû
¸ñʽ1
12
I
11(1) Note: Next version will use 11(1) panel \RSAG8.043.0122 instead of 11 stand \RSAG6.121.115. 11(1) panel \RSAG8.043.0122 uses 3 screw\SJ2823-87 ST4X16C to fix to the TV.
1
2
3
4
5
6
¸ü¸Ä±ê¼Ç
Éè ¼Æ
Éó ºË ¹¤ ÒÕ
±ê×¼»¯ Åú ×¼
7
ÊýÁ¿
¸ü¸Äµ¥ºÅ
8
Ç©Ãû
ÈÕÆÚ
explode view
LHDN32K15CEU
9
10
½×¶Î±ê¼Ç
µÚ Ò³
ÖÊ Á¿
¹² Ò³
±È Àý
1:6
Заµºº£РЕµзЖч¹Й·ЭУРПЮ¹«Л¾
·ùÃæ: A3
11
12
J
Page 40
LHDN32K15CEU Parts List
7
VIT3010 8W8Ω 01
Speaker
2
fix with 4 screw\RSAG8.912.018
No. Code Number
Description
1 HE315DH-E02 LED panel 1
2
3 RSAG2.908.4258
4 RSAG8.081.1039
main board
Terminal Bracket
5 RSAG8.640.0203 lens 1
6 RSAG2.908.2310-52 IR Board 1
-
-
8 RSAG8.038.2484 bracket 1
QTY Note
Front bezel is fixed with panel.
fix with 3 screw\SJ2836-87 M3X8 white and 1 screw\SJ2831-87 ST3X8.
1
1
fix with 2 screw\SJ2825-87 ST3X10C black.
.
fix to panel with 2 screw\GB/T818-2000 M4X6 white and 2 screw\SJ2836-87 M4X6, fix to front bezel with 2 screw\SJ2824-87 ST4X14F black.
9 RSAG8.074.917 Rear Cover 1
10 RSAG6.150.685 bracket 4
11 RSAG6.121.115 stand 1
12 RSAG8.078.2589 bracket 1
fix to front bezel with 14 screw\SJ2824-87 ST4X14F black.
fix with 4 screw\SJ2824-87 ST4X10F black.
fix with 4 screw\SJ2824-87 ST5X14F black.
fix with 2 screw\SJ2830-87 M3X6 black.
Page 41
13
16
18RSAG8.078.93
b
1
fix to panel with 4 screw\SJ2836 87 M4X8 white,fix to Rear Cover
HF-606(TV)-P通PS8-12-D­047B
Power Switch 1
14 RSAG8.078.820 bracket 1
15
16
17 RSAG8.078.938 bracket 1
7
racket
19 RSAG2.908.1962 Keypad PCA 1
8(1) RSAG8.078.2579\ROH bracket 1
11 (1)
RSAG8.043.0122\SKD\ROH stand 1
fix to front bezel with screw\SJ2822-87 ST3X10C black.
fix with 2 screw\SJ2836-87 M3X8 white.
fix to panel with 4 screw\SJ2836-87 M4X8 white,fix to Rear Cover with 4 screw\SJ2824-87 ST5X14F black. (next version uses Bracket 8(1))
fix to TV with 3 screw\SJ2824-87 ST4X16C black. (next version uses Stand 11(1))
1102433
152661
Page 42
5
D D
+12V
+12V0
5VAIN0
C C
5VAIN
L18
L18
STPB2012-121PT
STPB2012-121PT
L19
L19
STPB2012-121PT/NC
STPB2012-121PT/NC
C810
C810 100u/16V
100u/16V
R448
R448 100k
100k
C301
C301
100n/16V
100n/16V
1
2
3
4
N1
BS
IN
SW
GND
MP1482N1MP1482
待机12伏和待机5伏在00页中转为主12V和主5伏后返回。
Vout=0.923*(1+4.02K/10K)=1.294 V
N13
2.5V Power
5VAIN
B B
C31
C31 10u/10V
10u/10V
N13
3
LD1117A-2.5AZ1117H-2.5
LD1117A-2.5AZ1117H-2.5 C79
C79 100n/16V
100n/16V
VIN
VOUT VOUT
ADJ
1
4 2
C74
C74 10u/10V
10u/10V
2.5V_Normal
C80
C80 100n/16V
100n/16V
SOT-223
3.3V Power_Standby
5Vstb
5VAIN
N2
L93
L93
L92
L92
BLM18PG121SN1/NC
BLM18PG121SN1/NC
BLM18PG121SN1/NC
A A
BLM18PG121SN1/NC
C8 10u/10VC810u/10V
N2
3
VIN
C10
C10 100n/16V
100n/16V
5
VOUT VOUT
ADJ
1
LD1117A-3.3AZ1117H-3.3
LD1117A-3.3AZ1117H-3.3
SOT-223
4 2
L91
L91
BLM18PG121SN1/NC
BLM18PG121SN1/NC
3.3Vstb
3.3Vstb 1
C9
C7
C7
10u/10VC910u/10V
100n/16V
100n/16V
3.3v_mcu 15Vstb 0
4
Vout=0.8*(1+5.1K/0.953K)=5.08 V
L11
L11
10.0 uH
10.0 uH
C300
C300 10n/50V
10n/50V
C305
C305 100n/16V
100n/16V
COMP
8
SS
7
EN
6
3.3n/50V
3.3n/50V
5
C304
FB
C304
R446
R446
2.2k
2.2k
此为待机12V转待机5
VDDC
C302
C302
R445
R445
100n/16V
100n/16V
4.02k
4.02k
R428
R428
R447
R447
10k/NC
10k/NC
10k
10k
3.3V Power_Normal
5VAIN 33V_Normal
C13
C13 10u/10V
10u/10V
33V_Normal
N3
N3
2
C12
C12 100n/16V
100n/16V
SOT-252
Vout
Vin
ADJ
1
AP1084D33GAZ1084D-3.3
AP1084D33GAZ1084D-3.3
33V_Normal 1
3
C108
C108
2.2u/10V
2.2u/10V
Power for PCMCIA
L34
L34 STPB2012-121PT/NC
STPB2012-121PT/NC
2
R30
R30
C43
C43
22k
22k
680n/16V
680n/16V
V22
V22
3
MMBT3904LT1
MMBT3904LT1
1
R32
2
4
R32 10k/NC
10k/NC
V27
V27
R341kR34
1k
1
VCC-PCMCIA5VAIN
3
AO3401L
AO3401L
PCM_PWR_CTL 2
R38
R38 1k/NC
1k/NC
C379
C379 100n/16V
100n/16V
3
C303
C303 10u/10V
10u/10V
C14
C14 100n/16V
100n/16V
3
C811
C811 100u/16V
100u/16V
C813
C813 100u/16V
100u/16V
C814
C814 100u/16V
100u/16V
2
背光控制
R330
V46
V46
3
1
2
C956
C956 100u/25V
100u/25V
R453
R453
1
0R/NC
0R/NC
N15
N15
VOUT4VIN
2
VOUT
2
R330
4.7k/NC
4.7k/NC
R78
R78
R64
R64
4.7k
4.7k
R99
R99 0R/NC
0R/NC
4.7k
4.7k
C198
C198 100n/16V
100n/16V
V11
V11
3
MMBT3904LT1
MMBT3904LT1
2
C201
C201 100n/16V
100n/16V
ADJ
1
AZ1084S-ADJ
AZ1084S-ADJ
1
R451
R451 10k
10k
R143
R143
0R/NC
0R/NC
R334
R334
10k
10k
L8
L8
STPB2012-121PT
STPB2012-121PT
L7
L7
STPB2012-121PT
STPB2012-121PT
R454
R454 10k
10k
R450
R450
4.7k
4.7k
MMBT3904LT1
MMBT3904LT1
C812
C812 330u/10V
330u/10V
+12V
5VAIN
ON_PANEL2
ON_PBACK2
ADJ-PWM22
ADJ-PWM2
33V_Normal
1.8V Power for DDR
5VAIN
R460
R460 R464
R464
6.8R/2W
6.8R/2W
6.8R/2W
6.8R/2W
C306
C306
2.2u/10V
2.2u/10V
C310
C310 100n/16V
100n/16V
Vout=Vrefx(1+(R384/R461))+50mAx1
1
+12V_IN
V44
V44
3
MMBT3904LT1
MMBT3904LT1
2
1
R342
R342 47k
47k
R449
R449
4.7k
4.7k
3
2.4k
2.4k
R333
R333
4.7k
4.7k
R461
R461
V45
V45
5VAIN
1
R57
R57
4.7k
4.7k R630RR63
0R
BRI-EXTON_PBACK
R371kR37
3
R145
R145
1k
10k/NC
10k/NC
MMBT3904LT1
MMBT3904LT1
2
N14
N14 AO4459
AO4459
1
S1
2
S2
3
S3
4
C195
C195
G
1u/16V
1u/16V
R470
R470
R452
R452
100k
100k
4.7k
4.7k
V10
V10
3
MMBT3904LT1
MMBT3904LT1
2
R3841kR384
BL-ON/OFF
BRI-EXT 9
BL-ADJUST
D1 D1 D2 D2
C816
C816 100u/16V
100u/16V
+12V_IN2
C77
C77 10u/10V
10u/10V
VCC-Panel
8 7 6 5
C815
C815 100u/16V
100u/16V
BL-ADJUST 9
C78
C78 1n/50V
1n/50V
1.8VA
C311
C311 100n/16V
100n/16V
STB
STB2
BL-ADJUST
Inverter Connector
1k
Title
Title
Title
MSD309PX
MSD309PX
MSD309PX
Size Document Number Rev
Size Document Number Rev
Size Document Number Rev
B
B
B
Date: Sheet of
Date: Sheet of
Date: Sheet of
System Power
System Power
System Power
Saturday, November 27, 2010
Saturday, November 27, 2010
Saturday, November 27, 2010
110
110
110
1
XP2XP2
7 6 5 4 3 2 1
A
A
A
Page 43
5Vstb
5Vstb2
PWR-ON
+12V_IN1
+12V_IN
C803
C803
10u/16V
10u/16V
V710
V710
R713
R713
1
4.7k
4.7k
C801
C801
10u/25V
10u/25V
R724
R724
PWR-ON
4.7k
4.7k
H:Disable L:Enable(default)
5Vstb 3.3v_mcu
R10
R10
PWR-ON
100R
100R
C713
C713 100n/16V
100n/16V
3
MMBT3904LT1
MMBT3904LT1
2
V712
V712
1
R7
4.7kR74.7k
V4
3
MMBT3904LT1V4MMBT3904LT1
2
R720
R720
10k
10k
C712
C712 100n/25V
100n/25V
3
MMBT3904LT1
MMBT3904LT1
2
R40
R40
1
10k
10k
C714
C714 100n/16V
100n/16V
R758
R758
N43
N43
C715
C715
22k
22k
1
C718
C718 1u/25V
1u/25V
S1
2
G1
3
S2 G24D22
IRF7314AO4801/3
IRF7314AO4801/3
N42
N42
1
S1
2
G1
3
S2 G24D22
IRF7314AO4801/3
IRF7314AO4801/3
R44
R44 10k
10k
PWR-ON/OFF
D11 D12 D21
D11 D12 D21
8 7 6 5
+12V
8 7 6 5
PWR-ON/OFF 2
5VAIN
5VAIN 1
C804
C804 100u/16V
100u/16V
L10
L10 FB1206
FB1206
1 2
C802
C802 100u/25V
100u/25V
+12V_IN
L23
L23
220u/25V
220u/25V
STPB3216-121PT
STPB3216-121PT
C806
C806
VCC-A
VCC-A 1
100u/25V
100u/25V C805
C805
+12V 1
N6
C17
C17 10u/10V
10u/10V
3
C15
C15 100n/16V
100n/16V
N6
1
5Vstb
1u/16V
1u/16V
R723
R723 22k
22k
R722
R722
22k
22k
R41
R41
0R/NC
0R/NC
present for MCU
3.3v_mcu
XP17
XP17
3.3v_mcu
R538
R538
R537
R537
NC/0R
IR_IN2
NC/0R
4.7K
4.7K
IR_mcu
23
V56
V56 2N7002
2N7002
1
R539
R539 NC/10K
NC/10K
3.3v_mcu
R767
R767
RST_MCU
R768
IR_mcu KEYPAD-KEY0
KEYPAD-KEY1
KEYPAD-KEY1
KEYPAD-KEY0
R768
R770
R770
100R
100R
R771
R771 100R
100R
100R
100R
KEYPAD-KEY11
100R
100R
KEYPAD-KEY01
AMP-MUTE2
3.3v_mcu
12
C961100uF/16V+C961100uF/16V
R772
R772
C378
C378
+
R764
R764
R766
R766
4K7
4K7
4.7K
4.7K
1 2
1 2
NC/10K
NC/10K
NC/22K
NC/22K
R773
R773
1 2
10uF/6.3V
10uF/6.3V
1
VCC
14
VSS
10
RST/NMI/SBWTDIO_3
2
P1.0/TACLK/ACLK/AO_4
3
P1.1/TA0/A1_5
4
P1.2/TA1/A2_6
5
P1.3/ADC10CLK/A3/VREF-/VeREF-_1
R-TSOP14N-065-640-HX
R-TSOP14N-065-640-HX
MSP430F2012
MSP430F2012
XIN/P2.6_11
XOUT/P2.7_12
TEST/SBWTCK_13
P1.7/A7/SDI/SDA/TDO/TDI_7
P1.6/TA1/A6/SDO/SCL/TDI/TCLK_8
P1.4/SMCLK/A4/VREF+/VeREF+/TCK_9
P1.5/TA0/A5/SCLK/TMS_10
1
1
TEST
2
2
RST_MCU
3
3
4
4
TJC10-4A
TJC10-4A
Debug Port
Debug Port
C81
C81
12
N55
N55
13 12 11
9 8 6 7
TEST
MCU_SDA MCU_SCL LED1 MCU_PWON/OFF
NC/12pF
NC/12pF
Y5
JU-38Y5JU-38
C82
C82
NC/12pF
NC/12pF
1 2
3.3v_mcu
R774
R774
R775
R775
R776
R776
R777
R777
100R
100R
100R
100R
100R
100R
NC/4.7K
NC/4.7K
100R
100R
R778 4.7KR778 4.7K
R779
R779
1 2
PWR-ON/OFF
I2C-SDA 2,4 I2C-SCL 2,4
LED_M
LED_M 2
C333
C333
C337
C337
C376
C376
C373
C373
10u/16V/NC
10u/16V/NC
10u/16V/NC
10u/16V/NC
22u/16V
22u/16V
100n/16V
100n/16V
VOUT4VIN
2
VOUT
ADJ
LD1117A-3.3AZ1117H-3.3
LD1117A-3.3AZ1117H-3.3
SOT-223
C11
C11 10u/10V
10u/10V
3.3v_mcu
5Vstb
C807
C807 220u/25V
220u/25V
C16
C16 100n/16V
100n/16V
C957
C957
C958
C958
22u/6.3V
22u/6.3V
22u/6.3V
22u/6.3V
3.3v_mcu 1
C959
C959 22u/6.3V
22u/6.3V
C372
C372 100n/16V
100n/16V
L22
L22
3.3 uH
3.3 uH
R512
R512 100K
100K
EN/SYNC
C374
C374 100n/16V/NC
100n/16V/NC
PWR-ON/OFF
R966
R966 10k/NC
10k/NC
R960
R960
10R
10R
R431
R431 47k
47k
C382
C382 100n/16V
100n/16V
R432
R432
R430
R430
0R/NC
0R/NC
4.7k
4.7k
1 2
4 5 6 7
1
N19
N19
IN SW1 SW23GND
SW4 BST
NB637
NB637
5Vstb
V29
V29
3
MMBT3904LT1
MMBT3904LT1
2
15
14
AGND
NC
13
GND
12
VCC_NB637
VCC11SW3
10
AAM
9
PG
R961
R961
PB8EN/SYNC
12.4k
12.4k
5Vstb
R429
R433
R433 47k/NC
47k/NC
R429 10k
10k
R434
R434 R427
R427
V20
V20
3
R412
R412
100R
100R 0R/NC
0R/NC
1
MMBT3904LT1
MMBT3904LT1
2
4.7k
4.7k
R402
R402 10k
10k
R967
R967
80.6K
80.6K
R964
R964
1.6k
1.6k
STB
STB 1
100p/50V
100p/50V
R965
R965
10k
10k
R9622kR962
2k
R1190RR119
C960
C960
0R
R1218 and R1216----AAM
更换
2380为NB637
C383
C383
100n/16V
100n/16V
R963
R963
10R
10R
Page 44
R533
R533
DDC_SCL
0R/NC
0R/NC
R218
R218
UART-R
VGA_BIN+
100R
100R
VGA_GIN+ VGA_RIN+
R527
R527
UART-T
DDC_SDA
100R
100R
DDCSDA
DDCSCL
RV77
RV77
AVLC18S02015
AVLC18S02015
VGA5V
2
1
+5V
XS6XS6
2
R
1
L
5
SW1
4
SW2
3
GND
R534
R534
0R/NC
0R/NC
RV78
RV78
AVLC18S02015
AVLC18S02015
VD40
VD40 BAT54C
BAT54C
3
5VAIN 1
RV81
RV81
AVLC18S02015/NC
AVLC18S02015/NC
R529
R529
R487
R487
100R
100R
100R
100R
1
A0
2
A1
3
A2 Vss4SDA
K24C02
K24C02
AVLC18S02015/NC
AVLC18S02015/NC
UART-TX 2
N18
N18
VCC SCL
RV82
RV82
VGA-5V
8 7
WP
6 5
R480
R480
10k
10k
RV117
RV117
AVLC18S02015
AVLC18S02015
C237
C237 100n/25V
100n/25V
R502
R502 12k
12k
VGA-5V
DDC_SCL
C239
C239 560p/50V
560p/50V
R496
R496 10k
10k
DDC_SDA
R526
R526 22k/NC
22k/NC
UART-RX 2
RV75
RV75
AVLC18S02015
AVLC18S02015
R523
R523 10k
10k
R482
R482
10k
10k
AVLC18S02015
AVLC18S02015
R478
R478 12k
12k
AVLC18S02015
AVLC18S02015
RV116
RV116
R484
R484 10k
10k
RV76
RV76
MUX_AUR
MUX_AUL
C243
C243 560p/50V
560p/50V
VGA_HS VGA_VS DDC_SDA DDC_SCL
RV80
RV80
AVLC18S02015
AVLC18S02015
MUX_AUR 2
MUX_AUL 2
VGA_BIN+ 2 VGA_GIN+ 2
R235
R235
R493
R493
75R
75R
75R
75R
R481
R481 22k
22k
XS24XS24
17 16
VGA_RIN+ 2
R528
R528 75R
75R
R483
R483
RGB1_VGA-HS
R230
R230
RGB1_VGA-VS
100R
100R
100R
100R
R232
R232 22k
22k
6
UART-T
11
VGA_RIN+
1 7
DDCSDA
12
VGA_GIN+
2 8
VGA_HS
13
VGA_BIN+
3
VGA5V
9
VGA_VS
14
UART-R
4 10
DDCSCL
15 5
HS_RGB 2 VS_RGB 2
VER.C版本的更改
Page 45
HDTV-1 YPbPr INPUT
YPBPR AND AV INPUT INPUT, AUDIO 共用, 更改为立式插座。
XS13
XS13
1
SIGNAL1
绿
绿
3
SIGNAL3
2
GND
4
SIGNAL4
6
SIGNAL6
5
GND
7
SIGNAL7
9
SIGNAL9
8
GND
XS14
XS14
1
SIGNAL1
3
SIGNAL3
2
GND
4
SIGNAL4
6
SIGNAL6
5
GND
SPDIF OUT
XS17黄XS17
SIGNAL
SIGNAL_1
GND
HD1_Y/AV
HD1_Pb
HD1_Pr HD1_PrHD1_PrHD1_PrHD1_PrHD1_Pr
HD1/AV-L
HD1/AV-R
SPDIF-OUT SPDIF_OUT
1 3 2
RV112
RV112
ASES12U020R2/NC
ASES12U020R2/NC
RV98
RV98
ASES12U020R2/NC
ASES12U020R2/NC
R406
R406
10k
10k
RV103
RV103
ASES12U020R2/NC
ASES12U020R2/NC
C216
C216
100n/25V
100n/25V
R335
R335 100R
100R
RV99
RV99
ASES12U020R2/NC
ASES12U020R2/NC
R316
R316 12k
12k
R408
R408
100R
100R
C218
C218 33p/50V
33p/50V
RV105
RV105
ASES12U020R2/NC
ASES12U020R2/NC
RV104
RV104
C209
C209 560p/50V
560p/50V
ASES12U020R2/NC
ASES12U020R2/NC
R8620RR862
0R R8610RR861
0R R8600RR860
0R
R336
R336
10k
10k
SPDIF_OUT 2
C214
C214 560p/50V/NC
560p/50V/NC
R361
R361 12k
12k
5VAIN
5VAIN 1
R950
R950
V90
V90
4.7k
4.7k
3
C930
C930
1
R951
R951
MMBT3904LT1
MMBT3904LT1
2
0R/NC
0R/NC
Y2+ 2
PB2+ 2
PR2+ 2
CVBS1
R801
R801 220R
220R
2
CVBS1
22u/6.3V
22u/6.3V
5VAIN
R952
R952
V91
V91
3
C931
C931
4.7k
4.7k
1
R953
R953
MMBT3904LT1
MMBT3904LT1
2
22u/6.3V
22u/6.3V
C208
C210
C210 560p/50V
560p/50V
C207
C207 560p/50V/NC
560p/50V/NC
HD2_AUL
HD2_AUR
C208
R350
R350
R399
R399
560p/50V/NC
560p/50V/NC
75R
75R
75R
HD2_AUL 2
HD2_AUR 2
75R
C932
C932
22u/6.3V
22u/6.3V
C933
C933
22u/6.3V
22u/6.3V
R345
R345 75R
75R
0R/NC
0R/NC
R984
R984
4.7k
4.7k
1
R955
R955
0R/NC
0R/NC
1
R957
R957
0R/NC
0R/NC
5VAIN
V92
V92
R986
R986
V93
V93
4.7k
4.7k
R802
R802 220R
220R
3
MMBT3904LT1
MMBT3904LT1
2
R803
R803 220R
220R
5VAIN
3
MMBT3904LT1
MMBT3904LT1
2
R804
R804 220R
220R
Y2+
PB2+
PR2+
Page 46
R735
PH-Lin7
PH-Rin7
PH-Lin
PH-Rin
R735
470R/NC
470R/NC
C707
C707
R7440RR744
R745
R745
0R
VCC-A
2.2k
2.2k
C888
C888 100u/25V
100u/25V
VCC-A 1
C244
C244 100n/25V
100n/25V
C709
C708
C708
R737
R737
1n/50V/NC
1n/50V/NC
22k/NC
22k/NC
SHUTDOWN
C709
2.2u/10V/NC
2.2u/10V/NC
2.2u/10V/NC
2.2u/10V/NC
R736
R736 22k/NC
22k/NC
R734
R734
470R/NC
470R/NC
C706
C706 1n/50V
1n/50V
SHUTDOWN7
24寸用R745,32寸用R744
C891
C891 100u/16V/NC
100u/16V/NC
1
IN1
2
SGND
3
SVRR
4
OUT1
5
PGND
6
OUT2
7
VCC
8
M_SB
9
IN2 GND_1810GND_19
N44 TPA1517N44 TPA1517
GND_17 GND_16 GND_15 GND_14 GND_13 GND_12 GND_11 GND_10
GND
20 19 18 17 16 15 14 13 12 11
R739
R739 22k/NC
22k/NC
R740
R740 22k/NC
22k/NC
C889
C889
220u/25V/NC
220u/25V/NC
C890
C890
220u/25V/NC
220u/25V/NC
AMP-ROUT
AMP-LOUT
R7430RR743 R7420RR742 R7410RR741
R7380RR738 0R
0R
0R
0R
AMP-R+ AMP-R­AMP-L-
AMP-L+
AMP-R+9 AMP-R- 9 AMP-L- 9
AMP-L+ 9
Page 47
5
N46D MSD309PX
N46D MSD309PX
PWM
R3411MR341 1M
XTALO
CI_A8 CI_A10
CI_A1 CI_A13
CI_A14
AB25 AB24
E6 D6
J5 G4 B4
AA7
C4 A4 A2 B3 A3 B2
P6 N6
AA23 AA24
G5
AD1 AE2
E5
C2
B1 AD11 AE11
F11 E11
N46B MSD309PX
N46B MSD309PX
W21
U21
U19 AD12 AC12 AD13
Y12 AA11
Y24
Y22 AB22 AA22 AA20
Y21 AA18 AA19 AA16 AA14 AA12
Y15 AA17 AA15 AE14
Y20 AD16
Y13
Y14 AA13 AC14 AB23 AB20 AB14 AA21
Y25
T21
T19
P21
P20
R20
T20
P19
5
PWM
PAD_PWM0 PAD_PWM1 PAD_PWM2 PAD_PWM3
SAR
SAR
PAD_SAR0 PAD_SAR1 PAD_SAR2_POWER_DET__68 PAD_SAR3
SPI
SPI
PAD_GPIO_PM6_BOOT_FLASH_CS__45 PAD_SPI_CZ_BACKUP_FLASH_CS__46 PAD_SPI_CK PAD_SPI_DI PAD_SPI_DO PAD_GPIO_PM8_FLASH_WP__47
UART/I2CS
UART/I2CS
DDCA_CK DDCA_DA
I2CM
I2CM
PAD_DDCR_CK PAD_DDCR_DA
IR
IR
PAD_IRIN
XTAL
XTAL
PAD_XTAL_IN PAD_XTAL_OUT
RESET
RESET
PAD_RESET
USB
USB
PAD_DP_P0 PAD_DM_P0 PAD_DP_P1 PAD_DM_P1
PAD_GND_EFUSE PAD_TESTPIN
PCMCIA
PCMCIA
PAD_PCM_D[0]_0 PAD_PCM_D[1]_1 PAD_PCM_D[2]_2 PAD_PCM_D[3]_3 PAD_PCM_D[4]_4 PAD_PCM_D[5]_5 PAD_PCM_D[6]_6 PAD_PCM_D[7]_7
PAD_PCM_A[0]_8 PAD_PCM_A[1]_9 PAD_PCM_A[2]_10 PAD_PCM_A[3]_11 PAD_PCM_A[4]_12 PAD_PCM_A[5]_13 PAD_PCM_A[6]_14 PAD_PCM_A[7]_21 PAD_PCM_A[8]_16 PAD_PCM_A[9]_17 PAD_PCM_A[10]_20 PAD_PCM_A[11]_18 PAD_PCM_A[12]_15 PAD_PCM_A[13]_19 PAD_PCM_A[14]_59 PAD_PCM_RESET
PAD_PCM_IRQA_N PAD_PCM_OE_N PAD_PCM_IORD_N PAD_PCM_CE_N PAD_PCM_WE_N PAD_PCM_CD_N PAD_PCM_WAIT_N PAD_PCM_IOWR_ N_67 PAD-PCM_REG_N_68
PAD_PCM2_CE_N
NAND FLASH
NAND FLASH
PAD_PF_ALE PAD_PF_AD[15]_70 PAD_PF_CE0Z PAD_PF_CE1Z PAD_PF_OEZ PAD_PF_WEZ PAD_F_RBZ
5Vstb
RESET
VD2
VD2 BAV99LT1
BAV99LT1
R239
R239 100k
100k
R248
R248
MMBT3906LT1
MMBT3906LT1
132
1
4.7k
4.7k
V6
V6
C122
C122 10u/16V
10u/16V
PADA_OUTP_CH[6]_PAD_R_ODD[7]__1 PADA_OUTN_CH[6]_PAD_R_ODD[6]__0 PADA_OUTP_CH[7]_PAD_R_ODD[5]__3 PADA_OUTN_CH[7]_PAD_R_ODD[4]__2 PADA_OUTP_CH[8]_PAD_R_ODD[3]__5 PADA_OUTN_CH[8]_PAD_R_ODD[2]__4 PADA_OUTP_CH[9]_PAD_R_ODD[1]__9
PADA_OUTN_CH[9]_PAD_R_ODD[0]__8 PADA_OUTP_CH[10]_PAD_G_ODD[7]__7 PADA_OUTN_CH[10]_PAD_G_ODD[6]__6
PADA_OUTP_CH[11]_PAD_G_ODD[5]__11 PADA_OUTN_CH[11]_PAD_G_ODD[4]__10
PADA_OUTP_CH[12]_PAD_G_ODD[3]__13 PADA_OUTN_CH[12]_PAD_G_ODD[2]__12 PADA_OUTP_CH[13]_PAD_G_ODD[1]__15 PADA_OUTN_CH[13]_PAD_G_ODD[0]__14 PADA_OUTP_CH[14]_PAD_B_ODD[7]__17 PADA_OUTN_CH[14]_PAD_B_ODD[6]__16 PADA_OUTP_CH[15]_PAD_B_ODD[5]__19 PADA_OUTN_CH[15]_PAD_B_ODD[4]__18 PADA_OUTP_CH[16]_PAD_B_ODD[3]__21 PADA_OUTN_CH[16]_PAD_B_ODD[2]__20 PADA_OUTP_CH[17]_PAD_B_ODD[1]__23 PADA_OUTN_CH[17]_PAD_B_ODD[0]__22
PAD_TCON2_FE_ANT5V_MONITOR__62
PAD_TCON3_TUNER_RESET__56
PAD_TCON6_PCM_5V_CTL__74
PAD_TCON7_SIDE_AV_DET__73
PAD_GPIO5_ERROR_OUT__66
PAD_GPIO_PM0_5V_HDMI_3__42 PAD_GPIO_PM1_5V_HDMI_1__67
PAD_GPIO_PM4_POWER_ON_OFF__43
PAD_GPIO_PM5_5V_HDMI_2__65
PAD_GPIO_PM11_DSUB_DET__44
PAD_GPIO_PM12_EDID_WP__64
PAD_TGPIO0_RF_AGC_CTRL__48
PAD_TGPIO1_DEMOD_RESET__49
PAD_TGPIO2_TUNER_SCL__50
PAD_TGPIO3_TUNER_SDA__51
2
R2371kR237
3
1k
R193
R193 22k
22k
PWM0 PWM1 ADJ-PWM2
SAR0 SAR1
SC_FS5
D D
5Vstb
C C
B B
SPI_CSN SPI_SCK SPI_SDI SPI_SDO
4.7k
4.7k
UART-RX UART-TX
I2C-SCL I2C-SDA
PCM_D0 PCM_D1 PCM_D2 PCM_D3 PCM_D4 PCM_D5 PCM_D6 PCM_D7
PCM_A0 PCM_A1 PCM_A2 PCM_A3 PCM_A4 PCM_A5 PCM_A6 PCM_A7 PCM_A8 PCM_A9 PCM_A10 PCM_A11 PCM_A12 PCM_A13 PCM_A14 PCM_RESET
PCM_IRQA_N PCM_OE_N PCM_IORD_N PCM_CE_N PCM_WE_N PCM_CD_N PCM_WAIT_N PCM_IOWR_N PCM_REG_N
R348
R348
R347
R347
4.7k
4.7k
C178
C178
33p/50V
33p/50V C176
C176
HC-49SM24MHZ
HC-49SM24MHZ
33p/50V
33p/50V
USB0_DP10 USB0_DM10
R505
R505 R506
R506
SPI-CSNI
R507
R507
SPI-SCKI
R508
R508
SPI-SDII
22R
22R
SPI-SDOI
22R
22R
FLASH_WPN
22R
22R 22R
22R
R519
R519 R520
R520
22R
22R 22R
22R R5210RR521 R5220RR522
0R 0R
IRIN
XTALI
12
Z1
Z1
System-RST
USB0_DP
USB0_DM
R182
R182 R179
R179 R178
R178 R174
R174 R187
R187
22R
22R R189
R189
22R
22R R194
R194
22R
22R R198
R198
22R
22R 22R
22R R199
R199
22R
22R R338
R338
22R
22R R339
R339
22R
22R R340
R340 R344
R344
22R
22R R364
R364
22R
22R R365
R365
22R
22R R366
R366
22R
22R R372
R372
22R
22R R401
R401
22R
22R R367
R367
22R
22R R370
R370
22R
22R R184
R184
22R
22R R371
R371
22R
22R R373
R373
22R
22R R185
R185
22R
22R 22R
22R R376
R376
22R
22R R368
R368
22R
22R
CI_IRQA_N
R369
R369
22R
22R
CI_OE_N
R391
R391
CI_IORD_N
R394
R394
22R
22R 22R
22R R395
R395
22R
22R R390
R390
22R
22R R388
R388
22R
22R
22R
22R 22R
22R 22R
22R
IC Configuration Selection
A A
33V_Normal
R467
R467 R465
R465
I2S_OUT_MCK
R466
R466
10k
10k
I2S_OUT_BCK
10k/NC
10k/NC
R468
R468
I2S_OUT_SD
10k
10k
R271
R271
PWM0
10k
10k
R270
R270
PWM1
10k
10k
10k
10k
LVDS
LVDS
GPIO_TCON
GPIO_TCON
PAD_TCON0
PAD_TCON1_SC1_RE1__55
PAD_TCON4
PAD_TCON5_SC1_MUTE__63
PAD_TCON9_COMP_DET__60
PAD_TCON10_HP_DET__57
PAD_TCON11_HP_MUTE__61
PAD_TCON15_SC1_DET__72
GPIO
PAD_GPIO0_NTP_MUTE__69
PAD_GPIO3_PANEL_CTL__40
PAD_GPIO12_AMD_SCL__70 PAD_GPIO13_AMP_SDA__71
GPIO
PAD_GPIO1_AMP_RST__38
PAD_GPIO2_INV_CTL__39 PAD_GPIO4_USB_CTL__41
GPIO_PM
GPIO_PM
TS1
TS1
PAD_TS1_D[0]_25 PAD_TS1_D[1]_26 PAD_TS1_D[2]_27 PAD_TS1_D[3]_28 PAD_TS1_D[4]_29 PAD_TS1_D[5]_30 PAD_TS1_D[6]_31 PAD_TS1_D[7]_32
PAD_TS1_CLK PAD_TS1_VLD
PAD_TS1_SYNC
TS0
TS0
PAD_TS0_D[0]_36 PAD_TS0_D[1]_37 PAD_TS0_D[2]_38 PAD_TS0_D[3]_39 PAD_TS0_D[4]_40 PAD_TS0_D[5]_41 PAD_TS0_D[6]_42 PAD_TS0_D[7]_43
PAD_TS0_CLK PAD_TS0_VLD
PAD_TS0_SYNC
FRONT END
FRONT END
PAD_IP
PAD_IM
PAD_QP PAD_QM
PAD_VIFP PAD_VIFM
PAD_SIFP PAD_SIFM
PAD_IFAGC
PAD_RFAGC_TAGC
C313
C313 10u/16V
10u/16V
System-RST
C123
C123 1n/50V
1n/50V
XP5XP5
AC24 AC25 AD24 AD25 AE24 AC23 AE23 AD23 AE22 AC22 AC21 AD22
AC20 AD21 AE20 AD20 AE19 AC19 AC18 AD19 AC17 AD18 AE17 AD17
AA10 T5 AB10 AB7 AA9 V5 AC11 AA8
R6 Y8 Y9
T4
A7 C7 F4 E4 C3 D4 F6 F5
AB8 H5 C5 K4 L5 M6
TS1_D0
Y16
TS1_D1
AD14
TS1_D2
AD15
TS1_D3
AC15
TS1_D4
AC16
TS1_D5
Y17
TS1_D6
AB17
TS1_D7
AB19
TS1_CK
Y18 AE16 AB16
TS_D0
U20
TS_D1
V20
TS_D2
R19
TS_D3
AE13
TS_D4
AC13
TS_D5
Y11
TS_D6
AB11
TS_D7
AB13
TS_CLK
Y19
TS_MOVAL0
Y23
TS_MOSTART0
W20
AA3 AA2
Y3 Y2
AB1 AA1
AB2 AB3
IFAGC
AD3
TAGC
AE3
RF_AGC_SEL
AC4
SIF_SW
AD2 AD4 AE4
Debug port
1 2 3 4
LVB0P LVB0N LVB1P LVB1N LVB2P LVB2N LVBCP LVBCN LVB3P LVB3N LVB4P LVB4N
LVA0P LVA0N LVA1P LVA1N LVA2P LVA2N LVACP LVACN LVA3P LVA3N LVA4P LVA4N
WP_EE
PCM_PWR_CTL
HP_DET
ON_USB
AMP-MUTE AMP-RST ON_PBACK ON_PANEL VIF_SW ANTPWR_ON
LED1 LED2 PWR-ON/OFF
C168
C168
100n/25V
100n/25V
C169
C169
C171
C171 C174
C174 100n/25V
100n/25V
100n/25V
100n/25V 100n/25V
100n/25V
R188
R188 R215
R215
4.7k
4.7k
4.7k
4.7k
UART-RX UART-TX
HP_DET ON_USB
AMP-RST 7
RP966
RP966
RP967
RP967
22R
22R
R203
R203
R205
R205 R181
R181 22R
22R C341
C341
22R
22R
22R
22R 22R
22R
RP968
RP968
20p/50V/NC
20p/50V/NC
RP969
RP969
22R
22R R167
R167 R166
R166 R165
R165 22R
22R 22R
22R 22R
22R 22R
22R
C312
C312 150p/50V
150p/50V
VIFP 6 VIFM 6
T_SCL T_SDA
4
VGA_RIN+5 VGA_GIN+5 VGA_BIN+5
7 10
TS_MDI0 TS_MDI1 TS_MDI2 TS_MDI3 TS_MDI4TS_MDI4 TS_MDI5TS_MDI5 TS_MDI6TS_MDI6 TS_MDI7TS_MDI7 TSCLK TSVALID TSSTART
TS_MDO0 TS_MDO1 TS_MDO2 TS_MDO3 TS_MDO4 TS_MDO5 TS_MDO6
TS_MDO7 TS_MOCLK TS_MOVAL TS_MOSTART
L57
L57
0.0 uH
0.0 uH
R381
R381 R382
R382
2.2k
2.2k
2.2k
2.2k
T_SCL 6
T_SDA 6
5V-IF
4
HS_RGB5 VS_RGB5
PR1+5
Y1+5
PB1+5
SC_FB5
PR2+5
Y2+5
PB2+5
R206
R206
100R
100R
R250
R250
100R
100R
UART-RX 5 UART-TX 5
HDMI1-RX0N4 HDMI1-RX0P4 HDMI1-RX1N4 HDMI1-RX1P4 HDMI1-RX2N4 HDMI1-RX2P4 HDMI1-CLKN4 HDMI1-CLKP4
HDMI1-SCL4 HDMI1-SDA4
HDMI1-HPDIN4
HDMI0-RX0N4 HDMI0-RX0P4 HDMI0-RX1N4 HDMI0-RX1P4 HDMI0-RX2N4 HDMI0-RX2P4 HDMI0-CLKN4 HDMI0-CLKP4
HDMI0-SCL4 HDMI0-SDA4
HDMI0-HPDIN4
HDMI-CEC4
HDMI-CEC4
TS_MDO[7..0]
VGA_RIN+ VGA_GIN+VGA_GIN+ VGA_BIN+
HS_RGB VS_RGB
PR1+
PB1+
PR2+
PB2+
TS_MDI[7:0]
Y1+
Y2+
IF+
IF-
R619
R619 R615
R615 R909
R909 R911
R911
68R
68R
R612
R612
33R
33R
R613
R613
68R
68R
R6100RR610
33R
33R 68R
68R 33R
33R 0R
R594
R594 R595
R595 R593
R593 R592
R592
68R
68R
R590
R590
33R
33R
R463
R463
68R
68R
R5910RR591
33R
33R 68R
68R 33R
33R 0R
R598
R598 R599
R599 R597
R597 R596
R596
68R
68R
R600
R600
33R
33R
R462
R462
68R
68R
R6010RR601
33R
33R 68R
68R 33R
33R 0R
HDMI1-RX0N HDMI1-RX0P HDMI1-RX1N HDMI1-RX1P HDMI1-RX2N HDMI1-RX2P HDMI1-CLKN HDMI1-CLKP
HDMI1-SCL HDMI1-SDA HDMI1-HPDIN
HDMI0-RX0N HDMI0-RX0P HDMI0-RX1N HDMI0-RX1P HDMI0-RX2N HDMI0-RX2P HDMI0-CLKN HDMI0-CLKP
HDMI0-SCL HDMI0-SDA HDMI0-HPDIN
HDMI-CECHDMI-CEC
PCM_CD1_N TS_MDO3 TS_MDO4 TS_MDO5 TS_MDO6 TS_MDO7
PCM_IORD_N PCM_IOWR_N TSSTART TS_MDI0 TS_MDI1 TS_MDI2 TS_MDI3
TS_MDI4 TS_MDI5 TS_MDI6 TS_MDI7 TS_MOCLK
6
PCM_RESET PCM_WAIT_N
PCM_REG_N TS_MOVAL TS_MOSTART TS_MDO0
6
TS_MDO1 TS_MDO2 PCM_CD2_N
AGC
N46E MSD309PX
N46E MSD309PX
C484
C484
RGB CVBS
RGB CVBS
C481
C481
M2
C485
C485
PADA_RIN0M
M3
C483
C483
PADA_RIN0P
L2
PADA_GIN0M
C477
C477
47n/16V
47n/16V
L3
PADA_GIN0P
C480
C480
47n/16V
47n/16V
K1
C478
C478
PADA_BIN0M
47n/16V
47n/16V
K3
PADA_BIN0P
47n/16V
47n/16V
K2
PADA_SOGIN0
47n/16V
47n/16V
N4
PAD_HSYNC0
47n/16V
47n/16V
N5
C479
C479
PAD_VSYNC0
1n/50V
1n/50V C404
C404
R3
C396
C396
PADA_RIN1M
P2
PADA_RIN1P
C192
C192
P3
PADA_GIN1M
C482
C482
47n/16V
47n/16V
N2
PADA_GIN1P
C190
C190
47n/16V
47n/16V
N3
C403
C403
PADA_BIN1M
47n/16V
47n/16V
M1
PADA_BIN1P
47n/16V
47n/16V
N1
PADA_SOGIN1
47n/16V
47n/16V
W6
PAD_HSYNC1
47n/16V
47n/16V
Y6
PAD_VSYNC1
C440
C440
1n/50V
1n/50V C402
C402
U2
C395
C395
PADA_RIN2M
U3
PADA_RIN2P
C193
C193
T2
PADA_GIN2M
C476
C476
47n/16V
47n/16V
T1
C191
C191
PADA_GIN2P
47n/16V
47n/16V
R1
C398
C398
PADA_BIN2M
47n/16V
47n/16V
R2
PADA_BIN2P
47n/16V
47n/16V
T3
PADA_SOGIN2
47n/16V
47n/16V
V4
PAD_HSYNC2
47n/16V
47n/16V 1n/50V
1n/50V
N46C MSD309PX
N46C MSD309PX
HDMI AUDIO
HDMI AUDIO
G2
PAD_RX0N_A
H3
PAD_RX0P_A
H2
PAD_RX1N_A
J3
PAD_RX1P_A
J2
PAD_RX2N_A
J1
PAD_RX2P_A
G3
PAD_RXCN_A
G1
PAD_RXCP_A
M4
DDCDA_CK
M5
DDCDA_DA
K6
PAD_HOTPLUGA
D2
PAD_RX0N_B
E3
PAD_RX0P_B
E2
PAD_RX1N_B
F3
PAD_RX1P_B
F2
PAD_RX2N_B
F1
PAD_RX2P_B
D3
PAD_RXCN_B
D1
PAD_RXCP_B
J6
DDCDB_CK
L6
DDCDB_DA
J4
HOTPLUGB
AC8
PAD_RX0N_C
AD9
PAD_RX0P_C
AC9
PAD_RX1N_C
AD10
PAD_RX1P_C
AE10 AC10
AE8 AD8 AE7 AD7 AC7
K5
PAD_RX2N_C PAD_RX2P_C PAD_RXCN_C PAD_RXCP_C DDCDC_CK DDCDC_DA PAD_HOTPLUGC
PAD_CEC
PAD_I2S_IN_BCK_USB_OCD__52
PAD_I2S_IN_WS_WARM_LED_ON__54
PCMCIA
XS31 PCMCIAXS31 PCMCIA
35
GND
GND_34
36 37 38 39 40 41 42 43 44 45 46 47 48 49 50 51 52 53 54 55 56 57 58 59 60 61 62 63 64 65 66 67 68
5V-IF
R6611kR661
R642
R642
IFAGC IF_AGC
1k
5V-IF
10k
10k
R641
R641
R643
R643
TAGC
10k
10k
C471
C471
10k
10k
100n/25V
100n/25V
D3
CD1#_35
D4
MDO3
D5
MDO4
D6
MDO5
D7
MDO6
CE1#_6
MDO7
A10
CE2#_41
OE#_8
VS1#_42
A11
IORD#_43
A9
IOWR#_44
A8
MISTRT
A13
MDI0
A14
MDI1
WE#_14
MDI2
READY
MDI3
VCC
VCC_50
VPP1
VPP2
MIVAL
MDI4
MICLK
MDI5
A12
MDI6
A7
MDI7
A6
MOCLK
A5
RESET
A4
WAIT#_58
A3
INPACK
A2
REG#_60
A1
MOVAL
A0
MOSTART
D0
MDO0
D1
MDO1
D2
MDO2
WP
CD2#_66
GND_33
GND_67
GND_6869GND_6970GND_7071GND_71
72
C460
C460 100n/25V
100n/25V
IF_AGC
C462
C462 22n/25V
22n/25V
RF_AGC
RF_AGC
C491
C491 22n/25V
22n/25V
Close to chip
3
PADA_CVBS0 PADA_CVBS1 PADA_CVBS2 PADA_CVBS3 PADA_CVBS4 PADA_CVBS5
PADA_CVBS_OUT1 PADA_CVBS_OUT2
PADA_VCOM
PAD_LINEIN_L0
PAD_LINEIN_R0
PAD_LINEIN_L1
PAD_LINEIN_R1
PAD_LINEIN_L2
PAD_LINEIN_R2
PAD_LINEIN_L5
PAD_LINEIN_R5
PAD_LINEOUT_L0
PAD_LINEOUT_R0
PAD_LINEOUT_L3
PAD_LINEOUT_R3
PAD_EARPHONE_OUTL PAD_EARPHONE_OUTR
PAD_VRP PAD_VAG
AVSS_VRM_ADC_DAC
I2S
I2S
PAD_I2S_OUT_MCK
PAD_I2S_OUT_SD
PAD_I2S_OUT_WS
PAD_I2S_OUT_BCK
PAD_I2S_IN_SD_LED_ON__53
SPDIF
SPDIF
PAD_SPDIF_OUT
VCC-PCMCIAVCC-PCMCIA
1
PCM_D3
2
PCM_D4
3
PCM_D5
4
PCM_D6
5
PCM_D7
6
PCM_CE_N
7
PCM_A10
8
PCM_OE_N
9
PCM_A11
10
PCM_A9
11
PCM_A8
12
PCM_A13
13
PCM_A14
14
PCM_WE_N
15
PCM_IRQA_N
16 17 18
TSVALID
19
TSCLK
20
PCM_A12
21
PCM_A7
22
PCM_A6
23
PCM_A5
24
PCM_A4
25
PCM_A3
26
PCM_A2
27
PCM_A1
28
PCM_A0
29
PCM_D0
30
PCM_D1
31
PCM_D2
32 33 34
Boot Loader SPI Flash
6
6
3
3.3Vstb
SPI_CSN SPI_SDO
AC5 W4 W5 AA5 W2 W3
CVBSOut
V3 AA4
W1
R611
R611
47R
47R
R4 R5 T6 U6 V6 U5 AD6 AC6
V1 V2
AUOUTL1
AA6
AUOUTR1
Y5
EARPHONE_OUTL
AD5
EARPHONE_OUTR
AE5 AB4
AB5 AC3
A6 B5
I2S_OUT_LRCKI2S_OUT_LRCK
B6 C6
C1 H6 G6
P5
EARPHONE_OUTR EARPHONE_OUTL
I2S_OUT_MCK I2S_OUT_SD
I2S_OUT_LRCK I2S_OUT_BCK
5VAIN
C147
C147 100n/25V
100n/25V
C488
C488 C489
C489
47R
47R
47n/16V
47n/16V
47R
47R
47n/16V
47n/16V
CVBSOUT 5
C490
C490 47n/16V
47n/16V
C102
C102
C116
C116
AUL1
C109
C109
AUR1
C107
C107
AUL2
C104
C104
2.2u/10V
2.2u/10V
AUR2
C103
C103
2.2u/10V
2.2u/10V
AUL5
2.2u/10V
2.2u/10V
AUR5
2.2u/10V
2.2u/10V
2.2u/10V
2.2u/10V
2.2u/10V
2.2u/10V
AUVRP AUVAG AUVRM
I2S_OUT_MCK
Close to IC
I2S_OUT_SD
with width trace
I2S_OUT_BCK
AUOUTR1 AUOUTL1
SPDIF_OUT 5
R3931kR393
R3971kR397
1k
1k
PCM_CD1_N
PCM_CD2_N
N11
N11 NC/MX25L6405
NC/MX25L6405
1
HOLD_0
2
VCC
3
NC1
4
NC2
5
NC3
6
NC4
7
SO16-CS_6
8
DO
M25P32VMNTKH25L3205DM2C-12G
M25P32VMNTKH25L3205DM2C-12G
R907
R907 R908
R908
R670RR67 R660RR66
0R 0R
C331
C331 10u/10V
10u/10V
8
VCC
S
1
LVB0N LVB0P LVB1N LVB1P LVB2N LVB2P LVBCN LVBCP LVB3N LVB3P LVB4N LVB4P
LVA0N LVA0P LVA1N LVA1P LVA2N LVA2P LVACN LVACP LVA3N LVA3P LVA4N LVA4P
HD2_AUL 5 HD2_AUR 5 MUX_AUL 5 MUX_AUR 5 AV1_AUL 5 AV1_AUR 5
C167
C167 100n/16V
100n/16V
C118
C118 220p/50V
220p/50V
1
2
7
N12
N12
HOLD
Q2VSS4W
CVBS0 CVBS1
22R
22R
22R
22R
22R
22R
22R
22R
22R
22R
22R
22R
C175
C175 100n/16V
100n/16V
R123
R123
220k
220k
EARPHONE_OUTR 7
EARPHONE_OUTL 7 I2S_OUT_MCK 7 I2S_OUT_SD 7
I2S_OUT_LRCK 7 I2S_OUT_BCK 7
3
6
C
3
WP/Vpp_8
CVBS0 5 CVBS1 5
RP965
RP965
RP964
RP964
RP963
RP963
RP962
RP962
RP961
RP961
RP960
RP960
VCC-Panel
VD78
VD78 BAT54C
BAT54C
CLK
DI
5
NC8
D
NC7 NC6 NC5 VSS
R6_RXO0­R7_RXO0+ R4_RXO1­R5_RXO1+ R2_RXO2­R3_RXO2+ R0_RXOC­R1_RXOC+ G6_RXO3­G7_RXO3+ G4_RXO4­G5_RXO4+
G2_RXE0­G3_RXE0+ G0_RXE1­G1_RXE1+ B6_RXE2­B7_RXE2+ B4_RXEC­B5_RXEC+ B2_RXE3­B3_RXE3+ B0_RXE4­B1_RXE4+
R678
R678 27k/NC
27k/NC
R694
R694 10k/NC
10k/NC
C330
C330 10u/10V
10u/10V
L20
L20 BLM18PG181SN1
BLM18PG181SN1
AU_ROUT 5 AU_LOUT 5
R127
R127
C117
C117 220p/50V
220p/50V
220k
220k
R659
R659
100R
100R
16 15 14 13 12 11 10 9
R699
R699
0R/NC
0R/NC
PCM_CD_N
R6581kR658 1k
SPI_SCK SPI_SDI
C148
C148 20p/50V/NC
20p/50V/NC
C146
C146 1n/50V
1n/50V
VCC-Panel
R704
R704
R703
R703
27k/NC
27k/NC
R705
R705
100R
100R
10k
10k
+3.3AVDD +3.3AVDD
AI
IR&KEY PAD
1 2 3 4 5 6 7 8
XP11XP11
N5
N5
1
A0
A12WP
A23SCL
4
GND
AT24C32N-10SI-2.7
AT24C32N-10SI-2.7
R77
R77
FLASH_WPN
33k
33k
2
LVDS CONNECTOR
LVDS_SCL
R140
R140
4.7k/NC
4.7k/NC
GVMODSEL
GVMODSELGVMODSELGVMODSEL
R8420RR842 0R
IR_IN
R138
R138
LED_CTL
LED_EN
100R/NC
100R/NC
VER.B更改遥控控制
IR_IN
RV85
RV85
AVLC18S02015/NC
AVLC18S02015/NC
VCC-Panel
LVDS_SCL
BRI_OUT EXT_BRI
R6_RXO0-
R2_RXO2- R3_RXO2+ R0_RXOC­G6_RXO3- G7_RXO3+ G4_RXO4-
G2_RXE0- G3_RXE0+
R141
R141
4.7k/NC
4.7k/NC
G0_RXE1- G1_RXE1+
8/10BITSEL
8/10BITSEL8/10BITSEL8/10BITSEL8/10BITSEL8/10BITSEL8/10BITSEL8/10BITSEL
B6_RXE2­B4_RXEC-
R9100RR910
B2_RXE3-
0R
R134
R134 R135
R135
100R/NC
100R/NC 100R/NC
100R/NC
1k
C135
C135 100pF
100pF
5Vstb
R2381kR238
1k
V8
V8
R2511kR251
1
R224
R224
4.7k
4.7k
5Vstb
R275
R275
4.7k
4.7k
EEPROM
8
VCC
7
6
5
SDA
Address:0xA0
HDCP
R130
R130
10k
10k
N4
N4
1
8
A0
VCC
2
7
A1
WP
3
6
A2
SCL
5
Vss4SDA
AT24C04N-10SU-2.7
AT24C04N-10SU-2.7
Address:0xA4
2
IR_IN 0
5Vstb
C134
C134
I2C-SCL
1n/50V
1n/50V
I2C-SDA
3
IRIN
MMBT3904LT1
MMBT3904LT1
2
LED2
0:Write Enable
1:Write Disable
EEP_VCC
R157
R157 R175
R175
R176
R176
100R
100R 47R
47R
47R
47R
EEP_VCC
R124
R124 R128
R128
R129
R129
100R
100R 47R
47R
47R
47R
XP16XP16
12 3
4
5
6
7
8
9
10
11
12
13
14
15
16
17
18
19
20
21
22
23
24
25
26
27
28
29
30
31
32
33
34
35
36
37
38
39
40
VER.B更改KEY0GND顺序
C139
C139
XP8XP8
C136
C136
20p/50V/NC
20p/50V/NC 20p/50V/NC
20p/50V/NC
3.3v_mcu
R398
R398
R319
R319
4.7k
4.7k
LED_M
4.7k
4.7k
R530
R530
LED_M
0R/NC
0R/NC
R162
R162
R161
R161
C151
C151
C177
C177
100n/25V
100n/25V
10u/16V
10u/16V
4.7k
4.7k
4.7k
4.7k
WP_EE I2C-SCL
I2C-SDA
R126
R126
C145
C145 100n/25V
100n/25V
4.7k
4.7k
I2C-SCL
I2C-SDA
1
VCC-Panel
C892
C892 100u/25V
100u/25V
AI
GVMODSEL8/10BITSEL R7_RXO0+ R5_RXO1+R4_RXO1-
R1_RXOC+
G5_RXO4+
AI
3.3v_mcu
R247
R247
2.2k
2.2k
KEYPAD-KEY0
RV3
RV3
AVLC18S02015/NC
AVLC18S02015/NC
5Vstb
R331
R331
V26
V26
10k
10k
3
LED_EN
2
MMBT3904LT1
MMBT3904LT1
33V_Normal
4,9,11,7
I2C-SCL I2C-SDA 4,9,11,7
MSD309PX
MSD309PX
MSD309PX
MSD309PX-1
MSD309PX-1
MSD309PX-1
Saturday, November 27, 2010
Saturday, November 27, 2010
Saturday, November 27, 2010
LVDS_SCL
EXT_BRI
BRI_OUT
R352
R352
2.2k
2.2k
KEYPAD-KEY1
RV4
RV4
AVLC18S02015/NC
AVLC18S02015/NC
R5240RR524 0R
4.7k
4.7k
33V_Normal
1
R240
R240
B7_RXE2+
B5_RXEC+
B3_RXE3+ B1_RXE4+B0_RXE4-
3 2 1
R192
R192
0R/NC
0R/NC
1
LED_M 0
R5310RR531 0R
LED1
R164
R164
R173
R173
100R
100R
4.7k
4.7k
Title
Title
Title
Size Document Number Rev
Size Document Number Rev
Size Document Number Rev
Custom
Custom
Custom
Date: Sheet of
Date: Sheet of
Date: Sheet of
C640
C640 100n/25V
100n/25V
R702
R702
R700
R700 1k/NC
1k/NC
R675
R675
1k/NC
1k/NC
R701
R701
1k/NC
1k/NC
1k/NC
1k/NC
33V_Normal 5VAIN
KEYPAD-KEY1
KEYPAD-KEY0
3.3v_mcu 0
C170
C170
C160
C160
100n/25V
100n/25V
10u/16V
10u/16V
1k
1k
C156
C156 1n/50V
1n/50V
R354
R354
0R/NC
0R/NC
1
5Vstb
3.3Vstb
PWR-ON/OFF
R21
R21
ON_PANEL
R151
R151
ON_PBACK
R24
R24
ADJ-PWM2
10k
10k
R33
R33
10k
10k
AMP-MUTE
10k
10k
R26
R26
RF_AGC_SEL
R150
R150
10k
10k
VIF_SW
R152
R152
SIF_SW
R153
R153
10k
10k
ANTPWR_ON
10k
10k
R155
R155
10k
10k
ON_USB
10k
10k
10k
10k
R212
R212
PCM_IRQA_N
R221
R221
PCM_WAIT_N
R231
R231
PCM_PWR_CTL
10k
10k 10k
10k 10k
10k
C951
C951 100n/25V
100n/25V
VCC-Panel
I2C-SCL
BL-ADJUST
33V_Normal 1 5VAIN 1
KEYPAD-KEY11
KEYPAD-KEY01
R3561kR356
SAR1
R2761kR276
SAR0
C159
C159 1n/50V
1n/50V
5Vstb
R355
R355
10k
10k
LED_CTL
V9
V9
3
MMBT3904LT1
MMBT3904LT1
2
210
210
210
I2C-SDA 2,4
I2C-SCL 2,4
BRI-EXT 1
BL-ADJUST 1
5Vstb 1
3.3Vstb 1
PWR-ON/OFF 1
ON_PANEL 1 ON_PBACK 1 ADJ-PWM2 1
AMP-MUTE 7 RF_AGC_SEL 6
VIF_SW 6 ANTPWR_ON ON_USB 1
PCM_PWR_CTL 1
C950
C950 100n/25V
100n/25V
C540
C540 100n/25V
100n/25V
6
A
A
A
Page 48
5
4
3
2
1
B3
UDM
F3
LDM
F7
LDQS
E8
LDQS#
B7
UDQS
A8
UDQS#
D3
DQ11
D1
DQ12
C2
DQ9
B1
DQ14
F1
DQ6
G2
DQ1
H3
DQ3
H1
DQ4
L3
BA1
L2
BA0
M3
A1
M2
A10
N3
A5
P3
A9
R2
A12
P2
A7
N2
A3
R7
RFU1
L1
RFU2
R3
RFU3
N45
N45 H5PS5162FFR-25C
H5PS5162FFR-25C
B3
UDM
F3
LDM
F7
LDQS
E8
LDQS#
B7
UDQS
A8
UDQS#
D3
DQ11
D1
DQ12
C2
DQ9
B1
DQ14
F1
DQ6
G2
DQ1
H3
DQ3
H1
DQ4
L3
BA1
L2
BA0
M3
A1
M2
A10
N3
A5
P3
A9
R2
A12
P2
A7
N2
A3
R7
RFU1
L1
RFU2
R3
RFU3
N41
N41 H5PS5162FFR-25C
H5PS5162FFR-25C
SH1
SH1 MARK
MARK
1
1
1.8VA
E9
C9
C7
A9
C1
C3
G1
VDDL
VSS
VDDL
VSS
VDDQ
A
A
B
B
C
C
D
D
E
E
F
F
G
G
H
H
J
J
K
K
L
L
M
M
N
N
P
P
R
R
VSS
P9
A9
VDDQ
A
A
B
B
C
C
D
D
E
E
F
F
G
G
H
H
J
J
K
K
L
L
M
M
N
N
P
P
R
R
VSS
P9
VDDQ
VDDQ
VDDQ
VDDQ
VDDQ
VssQ UDQS# VddQ
VssQ UDQS# VddQ
UDQS VssQ DQ15
UDQS VssQ DQ15
VddQ DQ8 VddQ
VddQ DQ8 VddQ
DQ10 VssQ DQ13
DQ10 VssQ DQ13
VssQ LDQS# VddQ
VssQ LDQS# VddQ
LDQS VssQ DQ7
LDQS VssQ DQ7
VddQ DQ0 VddQ
VddQ DQ0 VddQ
DQ2 VssQ DQ5
DQ2 VssQ DQ5
VssDL CK Vdd
VssDL CK Vdd
RAS# CK# ODT
RAS# CK# ODT
CAS# CS#
CAS# CS#
A2 A0 Vdd
A2 A0 Vdd
A6 A4
A6 A4
A11 A8
A11 A8
RFU NC
RFU NC
VSSQ
VSSQ
VSSQ
VSSQ
VSSQ
B2
A7
B8
D8
D2
E9
C9
C7
C1
C3
VDDQ
VDDQ
VDDQ
VDDQ
VDDQ
VssQ UDQS# VddQ
VssQ UDQS# VddQ
UDQS VssQ DQ15
UDQS VssQ DQ15
VddQ DQ8 VddQ
VddQ DQ8 VddQ
DQ10 VssQ DQ13
DQ10 VssQ DQ13
VssQ LDQS# VddQ
VssQ LDQS# VddQ
LDQS VssQ DQ7
LDQS VssQ DQ7
VddQ DQ0 VddQ
VddQ DQ0 VddQ
DQ2 VssQ DQ5
DQ2 VssQ DQ5
VssDL CK Vdd
VssDL CK Vdd
RAS# CK# ODT
RAS# CK# ODT
CAS# CS#
CAS# CS#
A2 A0 Vdd
A2 A0 Vdd
A6 A4
A6 A4
A11 A8
A11 A8
RFU NC
RFU NC
VSSQ
VSSQ
VSSQ
VSSQ
VSSQ
B2
A7
B8
D8
D2
E7
G1
E7
VDDQ
VSSQ
VDDQ
VSSQ
G3
F2
G3
F2
A1
M9
J9
R1
E1
J1
VDD
VDD
VDD
VDD
VDD
123 789
123 789
Vdd NC Vss
Vdd NC Vss
DQ14 VssQ UDM
DQ14 VssQ UDM
VddQ DQ9 VddQ
VddQ DQ9 VddQ
DQ12 VssQ DQ11
DQ12 VssQ DQ11
Vdd NC Vss
Vdd NC Vss
DQ6 VssQ LDM
DQ6 VssQ LDM
VddQ DQ1 VddQ
VddQ DQ1 VddQ
DQ4 VssQ DQ3
DQ4 VssQ DQ3
VddL Vref Vss
VddL Vref Vss
CKE WE#
CKE WE#
RFU BA0 BA1
RFU BA0 BA1
A10 A1
A10 A1
Vss A3 A5
Vss A3 A5
A7 A9
A7 A9
Vdd A12 RFU
Vdd A12 RFU
NC2A2VSS
NC3E2VSS
VSS
NC1
J3
A3
E3
N1
R8
1.8VA
A1
M9
J9
R1
E1
J1
VDD
VDD
VDD
VDD
VDD
123 789
123 789
Vdd NC Vss
Vdd NC Vss
DQ14 VssQ UDM
DQ14 VssQ UDM
VddQ DQ9 VddQ
VddQ DQ9 VddQ
DQ12 VssQ DQ11
DQ12 VssQ DQ11
Vdd NC Vss
Vdd NC Vss
DQ6 VssQ LDM
DQ6 VssQ LDM
VddQ DQ1 VddQ
VddQ DQ1 VddQ
DQ4 VssQ DQ3
DQ4 VssQ DQ3
VddL Vref Vss
VddL Vref Vss
CKE WE#
CKE WE#
RFU BA0 BA1
RFU BA0 BA1
A10 A1
A10 A1
Vss A3 A5
Vss A3 A5
A7 A9
A7 A9
Vdd A12 RFU
Vdd A12 RFU
NC2A2VSS
NC3E2VSS
VSS
NC1
J3
A3
E3
N1
R8
VDDQ
VSSQ
VDDQ
VSSQ
G9
G7
VDDQ
VDDQ
Vss
Vss
VSSQ
F8
G7
VDDQ
Vss
Vss
VSSQ
F8
H2
G9
H2
VSSQ
VDDQ
VSSQ
A_MVERF
J2
VREF
MA_CKE
K2
CKE
MA_MCLK
J8
CLK
MA_MCLKZ
K8
CLK#
MA_DQ15
B9
DQ15
MA_DQ8
C8
DQ8
MA_DQ10
D7
DQ10
MA_DQ13
D9
DQ13
MA_DQ7
F9
DQ7
MA_DQ0
G8
DQ0
MA_DQ2
H7
DQ2
MA_DQ5
H9
DQ5
MA_ODT
K9
ODT
MA_RASZ
K7
RAS#
L8
CS#
MA_CASZ
L7
CAS#
MA_A0MA_A1 MA_A1
M8
A0
MA_A2
M7
A2
MA_A4
N8
A4
MA_A6
N7
A6
MA_A8MA_A9 MA_A9
P8
A8
MA_A11
P7
A11
MA_WEZ
K3
WE#
VSSDL
VSSQ
J7
H8
B_MVERF
J2
VREF
MB_CKE
K2
CKE
MB_MCLK
J8
CLK
MB_MCLKZ
K8
CLK#
MB_DQ15
B9
DQ15
MB_DQ8
C8
DQ8
MB_DQ10
D7
DQ10
MB_DQ13
D9
DQ13
MB_DQ7
F9
DQ7
MB_DQ0
G8
DQ0
MB_DQ2
H7
DQ2
MB_DQ5
H9
DQ5
MB_ODT
K9
ODT
MB_RASZ
K7
RAS#
L8
CS#
MB_CASZ
L7
CAS#
MB_A0
M8
A0
MB_A2
M7
A2
MB_A4
N8
A4
MB_A6
N7
A6
MB_A8
P8
A8
MB_A11
P7
A11
MB_WEZ
K3
WE#
VSSDL
VSSQ
J7
H8
Close to DRAM
Close to DRAM
33V_Normal
3.3Vstb
R23
R23 100R
100R
R378
R378 100R
100R
33V_Normal 1
3.3Vstb 1
R71
R71 100R
100R
C430
C430 1n/50V
1n/50V
R379
R379 100R
100R
C433
C433 1n/50V
1n/50V
N46F MSD309PXN46F MSD309PX
VDDC
E22
VDDC1.2V_4
F22
VDDC1.2V_5
E21
VDDC1.2V_6
F21
VDDC1.2V_31
G21
VDDC1.2V_32
H21
VDDC1.2V_33
E20
VDDC1.2V_34
D D
C C
G18引脚必须先经过C408后, 再跟33V_Normal
B B
A A
F20 G20 G22
H20
J20
J21
2.5V_Normal
M8 M9
L17
L17
N8
BLM18PG181SN1
BLM18PG181SN1
N9 R9
C44
C44
U8
100n/16V
100n/16V
3.3Vstb
L16
L16 BLM18PG181SN1
BLM18PG181SN1
E10
F10
G9
G10
H9
H10
33V_Normal
E19
F19 G18
C408
C408 100n/16V
100n/16V
1.8VA
E17
E18
F17
F18 G17
G16
H16
H17
J16
J17
L10
DVDD_NODIE
C52
C52
2.2u/10V
2.2u/10V
N19 M19
L19
K19
N20 M20
L20
K20
N21 M21
L21
K21
N22 M22
L22
K22
J22
H22
U18
T18
R18
P18
N18 M18
L18
K18
VDDC1.2V_35 VDDC1.2V_36 VDDC1.2V_37
DVDD_MIUA DVDD_MIUB
AVDD1P2
AVDD2P5_ADC_24 AVDD2P5_ADC
AVDD25_REF AVDD25_REF_38
AVDD_AU25
P8
AVDD25_MOD
P9
AVDD25_MOD_21
T8
AVDD25_PGA AVSS_PGA
E9
AVDD_DVI AVDD_DVI_3
F9
AVDD_DVI_40 AVDD_DVI_41 AVDD_DVI_42
AVDD_DMPLL AVDD3P3_ADC
AVDD3P3_ADC_45
K9
AVDD_AU33
J9
AVDD_EAR33
VDDP VDDP_23
AVDD_LPLL_MEMPLL
AVDD_DDRA_13 AVDD_DDRA_17 AVDD_DDRA_19 AVDD_DDRA AVDD_DDRA_29
AVDD_DDRB_14 AVDD_DDRB_18 AVDD_DDRB_20 AVDD_DDRB AVDD_DDRB_30
DVDD_NODIE
GND_163 GND_162 GND_161 GND_160 GND_164 GND_165 GND_166 GND_167 GND_168 GND_169 GND_170 GND_171 GND_172 GND_173 GND_174 GND_175 GND_176 GND_177
GND_159 GND_158 GND_157 GND_156 GND_155 GND_154 GND_153 GND_152
GND_179 GND_180 GND_178
GND_47
GND_48 GND_49 GND_50 GND_51 GND_52 GND_53 GND_54 GND_55 GND_56 GND_57 GND_58 GND_59 GND_60 GND_61 GND_62 GND_63 GND_64 GND_65 GND_66 GND_67 GND_68 GND_69 GND_70 GND_71 GND_72 GND_73 GND_74 GND_75 GND_76 GND_77 GND_78 GND_79 GND_80 GND_81 GND_82 GND_83 GND_84 GND_85 GND_86 GND_87 GND_88 GND_89 GND_90 GND_91 GND_92 GND_93 GND_94
GND_95 GND_96 GND_97 GND_98
GND_99 GND_100 GND_101 GND_102 GND_103 GND_104
GND_105 GND_106 GND_107 GND_108 GND_109 GND_110 GND_111 GND_112 GND_113 GND_114 GND_115 GND_116 GND_117 GND_118
GND_119 GND_120 GND_121 GND_122 GND_123 GND_124 GND_125 GND_126 GND_127 GND_128 GND_129 GND_130 GND_131 GND_132
GND_143 GND_142 GND_141 GND_140 GND_139 GND_138 GND_137 GND_136 GND_135 GND_134 GND_133 GND_144 GND_145 GND_146 GND_147 GND_148 GND_149 GND_150 GND_151
AC2 AE1 Y10
V7
GND
W7
V8 W8 V9 W9 J10 K10 M10 N10 P10 R10 T10 U10 V10 W10 D11 G11 H11 J11 K11 L11 M11 N11 P11 R11 T11 U11 V11 W11 D12 E12 F12 G12 H12 J12 K12 L12 M12 N12 P12 R12 T12 U12 V12 W12 D13 E13 F13
H13 J13 K13 L13 M13 N13 P13 R13 T13 U13
D14 E14 F14 G14 H14 J14 K14 L14 M14 N14 P14 R14 T14 U14
D15 E15 F15 G15 H15 J15 K15 L15 M15 N15 P15 R15 T15 U15
U16 T16 R16 P16 N16 M16 L16 K16 F16 E16 D16 K17 L17 M17 N17 P17 R17 T17 U17
MIUA_A0 MIUA_A1 MIUA_A2 MIUA_A3 MIUA_A4 MIUA_A5 MIUA_A6 MIUA_A7 MIUA_A8 MIUA_A9 MIUA_A10
MIUA_A12 MIUA_A13
MIUA_DQ0 MIUA_DQ1 MIUA_DQ2 MIUA_DQ3 MIUA_DQ4 MIUA_DQ5 MIUA_DQ6 MIUA_DQ7 MIUA_DQ8 MIUA_DQ9 MIUA_DQ10 MIUA_DQ11 MIUA_DQ12 MIUA_DQ13 MIUA_DQ14 MIUA_DQ15
MIUA_DQS0 MIUA_DQS0B MIUA_DQS1 MIUA_DQS1B
MIUA_DQM0 MIUA_DQM1
MIUA_MCLK MIUA_MCLKZ MIUA_MCKE
MIUA_WEZ MIUA_RASZ MIUA_CASZ MIUA_BA0 MIUA_BA1 MIUA_BA2 MIUA_ODT
N46A MSD309PX
N46A MSD309PX
MIUA MIUB
MIUA MIUB
C10
PAD_IO[8]_A_A0__0
A22
PAD_IO[41]_A_A1__1
A9
PAD_IO[5]_A_A2__2
B23
PAD_IO[44]_A_A3__3
B9
PAD_IO[3]_A_A4__4
A23
PAD_IO[43]_A_A5__5
C9
PAD_IO[6]_A_A6__6
C23
PAD_IO[45]_A_A7__7
B8
PAD_IO[4]_A_A8__8
A24
PAD_IO[46]_A_A9__9
B22
PAD_IO[42]_A_A10__10
C8
PAD_IO[2]_A_A11__11
B24
PAD_IO[35]_A_A12__12
B7
PAD_IO[0]_A_A13__91
C13
PAD_IO[14]_A_DQ0__13
A19
PAD_IO[32_A_DQ1__14
A12
PAD_IO[15]_A_DQ2__15
B19
PAD_IO[33]_A_DQ3__16
C20
PAD_IO[34]_A_DQ4__17
B12
PAD_IO[13]_A_DQ5__18
C19
PAD_IO[31]_A_DQ6]_19
A13
PAD_IO[17]_A_DQ7__20
B14
PAD_IO[18]_A_DQ8__21
C18
PAD_IO[29]_A_DQ9__22
C14
PAD_IO[19]_A_DQ10__23
A18
PAD_IO[30]_A_DQ11__24
B18
PAD_IO[28]_A_DQ12__25
B13
PAD_IO[16]_A_DQ13__26
B17
PAD_IO[27]_A_DQ14__27
C15
PAD_IO[20]_A_DQ15__28
A16
PAD_IO[23]_A_DQS0__29
C16
PAD_IO[24]_A_DQS0B__30
A15
PAD_IO[21]_A_DQS1__31
B15
PAD_IO[22]_A_DQS1B__32
B16
PAD_IO[26]_A_DQM0__34
C17
PAD_IO[25]_A_DQM1__35
C12
PAD_IO[12]_A_MCLK__36
B11
PAD_IO[10]_A_MCLKZ__37
C21
PAD_IO[37]_A_CKE__38
B20
PAD_IO[36]_A_WEZ__39
B10
PAD_IO[9]_A_RASZ__40
A10
PAD_IO[7]_A_CASZ__41
A21
PAD_IO[39]_A_BA0__42
B21
PAD_IO[38]_A_BA1__43
C22
PAD_IO[40]_A_BA2__44
C11
PAD_IO[11]_A_ODT__45
1.8VA
1.8VA
R107
R107
R8
10k
10k
10kR810k
A_MVERF
MVERF
R9
R116
R116
C39
C39
10kR910k
10k
10k
100n/16V
100n/16V
3.3Vstb
380mA 1100mA
C381
C377
C377 100n/16V
100n/16V
C381 100n/16V
100n/16V
C407
C407 100n/16V
100n/16V
110mA
C399
C399 100n/16V
100n/16V
PAD_IO[55]_B_A0__46 PAD_IO[88]_B_A1__47 PAD_IO[52]_B_A2__48 PAD_IO[91]_B_A3__49 PAD_IO[50]_B_A4__50 PAD_IO[90]_B_A5__51 PAD_IO[53]_B_A6__52 PAD_IO[92]_B_A7__53 PAD_IO[51]_B_A8__54
PAD_IO[93]_B_A9__55 PAD_IO[89]_B_A10__56 PAD_IO[49]_B_A11__57 PAD_IO[82]_B_A12__58 PAD_IO[47]_B_A13__92
PAD_IO[61]_B_DQ0__59 PAD_IO[79]_B_DQ1__60 PAD_IO[62]_B_DQ2__61 PAD_IO[80]_B_DQ3__62 PAD_IO[81]_B_DQ4__63 PAD_IO[60]_B_DQ5__64 PAD_IO[78]_B_DQ6__65 PAD_IO[64]_B_DQ7__66 PAD_IO[65]_B_DQ8__67 PAD_IO[76]_B_DQ9__68
PAD_IO[66]_B_DQ10__69 PAD_IO[77]_B_DQ11__70 PAD_IO[75]_B_DQ12__71 PAD_IO[63]_B_DQ13__72 PAD_IO[74]_B_DQ14__73 PAD_IO[67]_B_DQ15__74
PAD_IO[70]_B_DQS0__75
PAD_IO[71]_B_DQS0B__76
PAD_IO[68]_B_DQS1__77
PAD_IO[69]_B_DQS1B__78
PAD_IO[73]_B_DQM0__79 PAD_IO[72]_B_DQM1__80
PAD_IO[59]_B_MCLK__81
PAD_IO[57]_B_MCLKZ__82
PAD_IO[84]_B_CKE__83
PAD_IO[83]_B_WEZ__84 PAD_IO[56]_B_RASZ__85 PAD_IO[54]_B_CASZ__86
PAD_IO[86]_B_BA0__87 PAD_IO[85]_B_BA1__88 PAD_IO[87]_B_BA2__89 PAD_IO[58]_B_ODT__90
MVREF
1.8VA
R310
R310 10k
10k
B_MVERF
R377
R377
C428
C428
10k
10k
10n/50V
10n/50V
C412
C412
C410
C410
100n/16V
100n/16V
100n/16V
100n/16V
C401
C401
C400
C400
100n/16V
100n/16V
100n/16V
100n/16V
C431
C431 10n/50V
10n/50V
E23 U24 D24 V25 D25 V24 D23 W25 C25 W24 V23 C24 W23 B25
H23 P24 G24 R23 R24 G25 P23 H24 J25 N23 J24 N24 N25 J23 M25 K23
L24 L23 K24 K25
M23 M24
G23 F25 T23
R25 F23 E24 T24 T25 U23 F24
D22
2.5V_NormalVDDC
33V_Normal
C391
C391 100n/16V
100n/16V
C380
C380 100n/16V
100n/16V
MIUB_A0 MIUB_A1 MIUB_A2 MIUB_A3 MIUB_A4 MIUB_A5 MIUB_A6 MIUB_A7 MIUB_A8 MIUB_A9 MIUB_A10 MIUB_A11 MIUB_A12 MIUB_A13
MIUB_DQ0 MIUB_DQ1 MIUB_DQ2 MIUB_DQ3 MIUB_DQ4 MIUB_DQ5 MIUB_DQ6 MIUB_DQ7 MIUB_DQ8 MIUB_DQ9 MIUB_DQ10 MIUB_DQ11 MIUB_DQ12 MIUB_DQ13 MIUB_DQ14 MIUB_DQ15
MIUB_DQS0 MIUB_DQS0B MIUB_DQS1 MIUB_DQS1B
MIUB_DQM0 MIUB_DQM1
MIUB_MCLK MIUB_MCLKZ MIUB_MCKE
MIUB_WEZ MIUB_RASZ MIUB_CASZ MIUB_BA0 MIUB_BA1 MIUB_BA2 MIUB_ODT
MVERF
230mA
C1 100n/16VC1100n/16V
150mA
C394
C394 100n/16V
100n/16V
C393
C393 100n/16V
100n/16V
MIUA_DQS0 MIUA_DQS0B
MIUA_DQS1 MIUA_DQS1B
MIUA_DQM1 MIUA_DQM0
MIUA_DQ11 MIUA_DQ12 MIUA_DQ9 MIUA_DQ14
MIUA_DQ6 MIUA_DQ1 MIUA_DQ3 MIUA_DQ4
MIUA_DQ15 MIUA_DQ8 MIUA_DQ10 MIUA_DQ13
MIUA_DQ7 MIUA_DQ0 MIUA_DQ2 MIUA_DQ5
MIUB_DQS0 MIUB_DQS0B
MIUB_DQS1 MIUB_DQS1B
MIUB_DQM1 MIUB_DQM0
MIUB_DQ11 MIUB_DQ12 MIUB_DQ9 MIUB_DQ14
MIUB_DQ6 MIUB_DQ1 MIUB_DQ3 MIUB_DQ4
MIUB_DQ15 MIUB_DQ8 MIUB_DQ10 MIUB_DQ13
MIUB_DQ7 MIUB_DQ0 MIUB_DQ2 MIUB_DQ5
1.8VA
1.8VA1.8VA
22R
22R
MA_DQS0 MA_DQSB0
22R
22R
MA_DQS1
RP970
RP970
MA_DQSB1
22R
22R
MA_DQM1
RP971
RP971
MA_DQM0
RP972
RP972
22R
22R
MA_DQ11 MA_DQ12 MA_DQ9 MA_DQ14
22R
22R
MA_DQ6
RP973
RP973
MA_DQ1 MA_DQ3 MA_DQ4
22R
22R
MA_DQ15
RP974
RP974
MA_DQ8 MA_DQ10 MA_DQ13
22R
22R
MA_DQ7
RP975
RP975
MA_DQ0 MA_DQ2 MA_DQ5
RP976
RP976
22R
22R
MB_DQS0 MB_DQSB0
22R
22R
MB_DQS1
RP994
RP994
MB_DQSB1
22R
22R
MB_DQM1
RP993
RP993
MB_DQM0
RP992
RP992
22R
22R
MB_DQ11 MB_DQ12 MB_DQ9 MB_DQ14
22R
22R
MB_DQ6
RP991
RP991
MB_DQ1 MB_DQ3 MB_DQ4
22R
22R
MB_DQ15
RP990
RP990
MB_DQ8 MB_DQ10 MB_DQ13
22R
22R
MB_DQ7
RP989
RP989
MB_DQ0 MB_DQ2 MB_DQ5
RP988
RP988
230mA_DDR2/PCS_
C450
C439
C439 100n/16V
100n/16V
C432
C432 100n/16V
100n/16V
C454
C454 100n/16V
100n/16V
C445
C445 100n/16V
100n/16V
C442
C442 100n/16V
100n/16V
C441
C441 100n/16V
100n/16V
C473
C473 100n/16V
100n/16V
C468
C468 100n/16V
100n/16V
C450 100n/16V
100n/16V
C443
C443 100n/16V
100n/16V
MIUA_MCLK MIUA_MCLKZ
MIUA_ODT
MIUA_WEZ MIUA_MCKE MIUA_BA1 MIUA_BA0
MIUA_A4 MIUA_A6 MIUA_A8 MIUA_A11MIUA_A11
MIUA_A5 MIUA_A10 MIUA_A1 MIUA_BA2 MIUA_A13 MIUA_A12 MIUA_A7 MIUA_A9 MIUA_A3
MIUA_A2 MIUA_A0 MIUA_CASZ MIUA_RASZ
MIUB_MCLK MIUB_MCLKZ
MIUB_ODT
MIUB_WEZ MIUB_MCKE MIUB_BA1 MIUB_BA0
MIUB_A4 MIUB_A6 MIUB_A8 MIUB_A11
MIUB_A5 MIUB_A10 MIUB_A1 MIUB_BA2 MIUB_A13 MIUB_A12 MIUB_A7 MIUB_A9 MIUB_A3
MIUB_A2 MIUB_A0 MIUB_CASZ MIUB_RASZ
C438
C438 100n/16V
100n/16V
C427
C427 100n/16V
100n/16V
22R
22R
75R
75R
75R
75R
75R
75R
75R
75R
75R
75R
22R
22R
75R
75R
75R
75R
75R
75R
75R
75R
75R
75R
C436
C436 100n/16V
100n/16V
C429
C429 100n/16V
100n/16V
RP977
RP977
R13
R13
75R
75R
RP978
RP978
RP979
RP979
R383
R383
RP980
RP980
75R
75R
RP981
RP981
RP982
RP982
RP995
RP995 R380
R380
75R
75R
RP983
RP983
RP954
RP954
R396
R396
RP985
RP985
75R
75R
RP956
RP956
RP987
RP987
MA_MCLK MA_MCLKZ
MA_ODT
MA_WEZ MA_CKE MA_BA1 MA_BA0
MA_A4 MA_A6 MA_A8 MA_A11
MA_A5 MA_A10
MA_BA2
MA_A13
MA_A12 MA_A7
MA_A3 MA_A2
MA_A0 MA_CASZ MA_RASZ
MB_MCLK MB_MCLKZ
MB_ODT
MB_WEZ MB_CKE MB_BA1 MB_BA0
MB_A4 MB_A6 MB_A8 MB_A11
MB_A5 MB_A10
MB_BA2 MB_A13 MB_A12 MB_A7
MB_A3 MB_A2 MB_A3
MB_A0 MB_CASZ MB_RASZ
C452
C452 100n/16V
100n/16V
C444
C444 100n/16V
100n/16V
MA_DQM1 MA_DQM0
MA_DQS0 MA_DQSB0 MA_DQS1 MA_DQSB1
MA_DQ11 MA_DQ12 MA_DQ9 MA_DQ14
MA_DQ6 MA_DQ1 MA_DQ3 MA_DQ4
MA_BA1 MA_BA0
MA_A10 MA_A5
MA_A12 MA_A7 MA_A3
MA_BA2
MA_A13
MB_DQM1 MB_DQM0
MB_DQS0 MB_DQSB0 MB_DQS1 MB_DQSB1
MB_DQ11 MB_DQ12 MB_DQ9 MB_DQ14
MB_DQ6 MB_DQ1 MB_DQ3 MB_DQ4
MB_BA1 MB_BA0
MB_A1MB_A1 MB_A10 MB_A5
MB_A9MB_A9 MB_A12 MB_A7
MB_BA2
MB_A13
Title
Title
Title
MSD309PX
MSD309PX
MSD309PX
Size Document Number Rev
Size Document Number Rev
Size Document Number Rev
Custom
Custom
Custom
MSD309PX-2
MSD309PX-2
MSD309PX-2
Saturday, November 27, 2010
Saturday, November 27, 2010
Saturday, November 27, 2010
Date: Sheet of
Date: Sheet of
5
4
3
2
Date: Sheet of
1
A
A
A
103
103
103
Page 49
5
HDMI1
DC1R019JB1
DC1R019JB1
24
1
DATA2+
2
DATA2S
GND120GND322GND221GND423GND5
D D
XS1
XS1
C C
HDMI2
GND120GND322GND221GND423GND5
XS5
XS5
B B
3
DATA2-
4
DATA1+
5
DATA1S
6
DATA1-
7
DATA0+
8
DATA0S
9
DATA0-
10
CLK+
11
CLKS
12
CLK-
13
CEC
14
NC
15
SCL
16
SDA
17
CEC/GND
18
+5V
19
HPDET
(下面)
DC1R019JB1
DC1R019JB1
24
1
DATA2+
2
DATA2S
3
DATA2-
4
DATA1+
5
DATA1S
6
DATA1-
7
DATA0+
8
DATA0S
9
DATA0-
10
CLK+
11
CLKS
12
CLK-
13
CEC
14
NC
15
SCL
16
SDA
17
CEC/GND
18
+5V
19
HPDET
HDMI0-RX2+ HDMI0-RX2-
HDMI0-RX1+ HDMI0-RX1-
HDMI0-RX0+ HDMI0-RX0-
HDMI0-CLK+ HDMI0-CLK-
CEC
HDMI1/5V
RV16
RV16
ASES12U020R2/NC
ASES12U020R2/NC
HDMI1-RX2+ HDMI1-RX2-
HDMI1-RX1+ HDMI1-RX1-
HDMI1-RX0+ HDMI1-RX0-
HDMI1-CLK+ HDMI1-CLK-
CEC
RV93
RV93
R257
R257
ASES12U020R2/NC
ASES12U020R2/NC
100k
100k
R1831kR183 1k
HDMI0-HPD HDMI0-DDC-SCLHDMI0-DDC-SCLHDMI0-DDC-SCLHDMI0-DDC-SCL HDMI0-DDC-SDAHDMI0-DDC-SDA
V12
V12
3
1
MMBT3904LT1
MMBT3904LT1
2
ASES12U020R2/NC
ASES12U020R2/NC
ASES12U020R2/NC
ASES12U020R2/NC ASES12U020R2/NC
ASES12U020R2/NC
ASES12U020R2/NC
ASES12U020R2/NC ASES12U020R2NC
ASES12U020R2NC
ASES12U020R2/NC
ASES12U020R2/NC ASES12U020R2/NC
ASES12U020R2/NC
ASES12U020R2/NC
ASES12U020R2/NC
HDMI1-DDC-SCL
ASES12U020R2/NC
ASES12U020R2/NC
HDMI1-DDC-SDA
R3221kR322 1k
V31
V31
3
2
RV94
RV94
RV30
RV30 RV111
RV111
RV118
RV118 RV113
RV113
RV106
RV106 RV97
RV97
RV95
RV95 RV114
RV114
MMBT3904LT1
MMBT3904LT1
(下面)
RV100
RV100
RV39
RV39
ASES12U020R2/NC
ASES12U020R2/NC
RV129
RV129
ASES12U020R2/NC
ASES12U020R2/NC
RV127
RV127
ASES12U020R2/NC
ASES12U020R2/NC
RV130
RV130
ASES12U020R2/NC
ASES12U020R2/NC
RV128
RV128
ASES12U020R2/NC
ASES12U020R2/NC
RV102
RV102
ASES12U020R2/NC
ASES12U020R2/NC
RV101
RV101
ASES12U020R2/NC
ASES12U020R2/NC
RV14
RV14
ASES12U020R2/NC
ASES12U020R2/NC ASES12U020R2/NC
ASES12U020R2/NC
R211
R211 10k
10k
R186
R186
4.7k
4.7k
1
HDMI0-HPDIN
HDMI2/5V
R216
R216
4.7k
4.7k
RV17
RV17
ASES12U020R2/NC
ASES12U020R2/NC
ASES12U020R2/NC
ASES12U020R2/NC
R264
R264 10k
10k
RV18
RV18
ASES12U020R2/NC
ASES12U020R2/NC
R213
R213 10k
10k
RV122
RV122
ASES12U020R2/NC
ASES12U020R2/NC
HDMI0-RX2+ HDMI0-RX2-
HDMI0-RX1+ HDMI0-RX1-
HDMI0-RX0+ HDMI0-RX0­HDMI0-CLK+
HDMI0-DDC-SCL HDMI0-DDC-SDA
HDMI0-HPD
5VAIN
R266
R266 10k
10k
5VAIN
1
R214
R214 10k
10k
RV109
RV109
1
R209
R209 R168
R168
100R
100R 100R
100R
4
3
HDMI2/5V
3
HDMI1/5V
2
R191
R191 R146
R146
100R
100R 100R
100R
2
VD98
VD98 BAT54C
BAT54C
VD90
VD90 BAT54C
BAT54C
R627
R627
4.7k/NC
4.7k/NC
R163
R163
R245
R245
R261
R261 10R
10R R225
R225 10R
10R
10R
10R R265
R265 R263
R263
10R
10R R190
R190
10R
10R R234
R234
10R
10R R177
R177
10R
10R
R292
R292
100R
100R 100R
100R
1k/NC
1k/NC
R631
R631
4.7k/NC
4.7k/NC
R626
R626 0R/NC
0R/NC
8 7 6 5
R630
R630 0R/NC
0R/NC
8 7 6 5
VCC WP SCL SDA
N29
N29
VCC WP SCL SDA
K24C02/NC
K24C02/NC
N25
N25
A0 A1 A2
Vss
K24C02/NC
K24C02/NC
HDMI0-RX2P 2
HDMI0-RX2N 2 HDMI0-RX1P 2
HDMI0-RX1N 2
HDMI0-RX0P 2 HDMI0-RX0N 2 HDMI0-CLKP 2
HDMI0-CLK-
HDMI0-SCL 2 HDMI0-SDA 2
HDMI0-HPDIN 2
1
A0
2
A1
3
A2
4
Vss
1 2 3 4
C607
C607 100n/16V/NC
100n/16V/NC
C562
C562 100n/16V/NC
100n/16V/NC
R160
R160
10R
10R
3
HDMI0-CLKN 2
HDMI1-DDC-SCL
HDMI1-DDC-SDA
HDMI1-RX2+
HDMI1-RX2-
HDMI1-RX1+
HDMI1-RX1-
HDMI1-RX0+
HDMI1-RX0-
HDMI1-CLK+
HDMI1-CLK-
R200
R200
100R
100R R172
R172
100R
100R R169
R169
R262
R262
10R
10R
R278
R278 10R
10R
R227
R227 10R
10R
R273
R273 10R
10R
10R
10R R269
R269
10R
10R R202
R202
10R
10R R170
R170
10R
10R
HDMI1-SCL 2
HDMI1-SDA 2
HDMI1-RX2P 2
HDMI1-RX2N 2
HDMI1-RX1P 2
HDMI1-RX1N 2
HDMI1-RX0P 2
HDMI1-RX0N 2
HDMI1-CLKP 2
HDMI1-CLKN 2
CEC
2
3.3v_mcu
R913
R913 22k
22k
5VAIN
R267
R267
200R
200R
1
5VAIN 1
3.3v_mcu 1
HDMI-CEC 2
R210
R210 10k
10k
HDMI1-HPDIN
A A
5
4
HDMI1-HPDIN 2
Title
Title
Title
MSD309PX
MSD309PX
MSD309PX
Size Document Number Rev
Size Document Number Rev
Size Document Number Rev
Custom
Custom
Custom
HDMI
HDMI
HDMI
Tuesday, December 07, 2010
Date: Sheet of
Tuesday, December 07, 2010
Date: Sheet of
Tuesday, December 07, 2010
3
2
Date: Sheet of
410
410
410
1
A
A
A
Page 50
5
4
3
2
1
SCART_RGB
SC-G SC-B SC-R
RV74
RV74
RV87
D D
C342
C342
AV_LOUT
AV_ROUT
RV52
RV52
RV53
RV53
R252
R252
R222
AVLC18S02015
AVLC18S02015
AVLC18S02015
AVLC18S02015
C C
XS7XS7
AOR
AIR
AOL AGND BGND
AIL
SW
GGND
CLK
DATA
RGND
GND
R/C
BLANK
VGND
BLANKGND
VOUT
V/YIN
SHIELD
B B
R222
10k
10k
10k
10k
AV_ROUT
1
AUR_AV1
2
AV_LOUT
3 4 5
AUL_AV1
6
SC-B
7
B
G
SC-FS
8 9 10
SC-G
11 12 13 14
SC-R
15
SC-FB
16 17 18
AV_out
19
AV1
20 21
C343
C343
2.2u/10V
2.2u/10V
2.2u/10V
2.2u/10V
OUT-L
OUT-R
SCART_MODE
SCART_FB_SUB
RV87
AVLC18S02015
AVLC18S02015
AVLC18S02015
AVLC18S02015
SC-FB
SC-FS
AVLC18S02015
AVLC18S02015
R4210RR421
RV73
RV73
0R
AVLC18S02015
AVLC18S02015
R420
R420
RV79
RV79
8.2k
8.2k
AVLC18S02015
AVLC18S02015
RV64
RV64
75R
75R
75R
75R
R485
R485
R479
R479
75R
75R
R509
R509
SC_FB
SC_FS
75R
75R
R511
R511
R510
R510
75R
75R
SC_FB 2
SC_FS 2
Y1+ 2 PB1+ 2 PR1+ 2
SCART_CVBS_in
R863
R254
R254
10k
10k
C338
C338 100n/25V
100n/25V
R223
R223
100R
100R
C335
C335 100n/25V
100n/25V
R863
0R/NC
0R/NC
C336
C336 220p/50V/NC
220p/50V/NC
AV1_AUL
R255
R255 12k
12k
R259
R259
AV1_AUR
10k
10k
R242
R242
100R
100R
AV1AV1 CVBS0
RV31
RV31
AVLC18S02015
AVLC18S02015
Scart Audio
AUL_AV1
RV36
RV36
AVLC18S02015
AVLC18S02015
AUR_AV1
RV37
RV37
AVLC18S02015
AVLC18S02015
+12V
R498
R498
V17
V17
1.5k
1.5k
OUT-R
3
1
MMBT3904LT1
MMBT3904LT1
2
R492
R492
470R
470R
+12V
R499
R499
V16
V16
1.5k
1.5k
OUT-L
3
1
MMBT3904LT1
MMBT3904LT1
2
R501
R501
470R
470R
C339
C339 220p/50V/NC
220p/50V/NC
75R
75R
R236
R236 12k
12k
AU_ROUT 2
AU_LOUT 2
R504
R504
AV1_AUL 2
AV1_AUR 2
CVBS0
2
SCART_CVBS_out
5VAIN
AV_OUTAV_OUTAV_OUT AV_OUTAV_OUT
RV51
RV51
AVLC18S02015
AVLC18S02015
L9
L9
R208
R208
BLM18PG181SN1
BLM18PG181SN1
0R/NC
0R/NC
C830
C830
330u/6V
330u/6V
C199
C199 560p/50V/NC
560p/50V/NC
R204
R204
75R/NC
75R/NC
C194
C194
2
MMBT3906LT1
MMBT3906LT1
100n/25V
100n/25V
3
V18
V18
R260
R260 150R
150R
1
R243
R243
150R
150R
R246
R246 330R
330R
V19
V19
3
MMBT3904LT1
MMBT3904LT1
2
R241
R241 150R
150R
1
R256
R256 47k
47k
C831
C831
100u/16V
100u/16V
R226
R226 33k
33k
CVBSOut
CVBSOUT 2
+12V
5VAIN
A A
5
4
+12V 1
5VAIN 1
Title
Title
Title
MSD309PX
MSD309PX
MSD309PX
Size Document Number Rev
Size Document Number Rev
Size Document Number Rev
Custom
Custom
Custom
PC/HDTV/AV
PC/HDTV/AV
Date: Sheet of
Date: Sheet of
3
2
Date: Sheet of
PC/HDTV/AV
Saturday, November 27, 2010
Saturday, November 27, 2010
Saturday, November 27, 2010
1
A
A
A
105
105
105
Page 51
Ant_Pwr
RF AGC
SCL SDA VCC
IF AGC
DIF OUT+
DIF OUT-
IF OUT
5
5VAIN
ANT_5V_OUT
1 2
NC
VT AS
T_RF_AGC
3 4
R4250RR425
5
T_SCL_D
6
0R
T_SDA_D
7
5V_TUNER
8 9 10 11 12
IF+ IF-
IF_TV
R440
R440
IF+ 2
100R
100R
IF- 2
T_SCL_D
IF_AGC 2
T_SDA_D
C456
C456 20p/50V/NC
20p/50V/NC
C461
C461 20p/50V/NC
20p/50V/NC
U42
U42
D D
16
GND4
15
GND3
14
GND2
13
GND1
FH2610
FH2610
DVB-T/C TUNER
FR_AGC
RF_AGC
C C
2
5V-IF
RF_AGC
R417
R417
10k
10k
2
V37
V37 MMBT3906LT1
MMBT3906LT1
3
1
R414
R414 100k
100k
V38
V38
3
1
MMBT3904LT1
MMBT3904LT1
2
R442
R442
100R
100R
R404
R404
10k
10k
ANT POWER
+5V_TUNER_TEST
V41
R497
R497 10k
10k
R525
R525
470R
470R
V41
2
1
B B
5V-IF
ANTPWR_ON2
L21
L21
BLM18PG181SN1
BLM18PG181SN1
ANTPWR_ON
R409
R409
10k
10k
C340
C340 10n/50V
10n/50V
C344
C344 10u/16V
10u/16V
V42
V42
1
C347
C347 100n/16V
100n/16V
3
MMBT3904LT1
MMBT3904LT1
2
TUNER POWER
N16
R312
R312
+12V
A A
6.8R/2W
6.8R/2W
R314
R314
6.8R/2W
6.8R/2W
C639
C639 10u/16V
10u/16V
C826
C826 100u/25V
100u/25V
1
Vin
C248
C248 100n/16V
100n/16V
N16
GND
3
2
Vout
CW78D05CZ
CW78D05CZ
C249
C249 100n/16V
100n/16V
4
5VAIN 1
R439
R439 R438
R438
T_SDA 2 T_SCL 2
100R
100R 100R
100R
T_IF_AGCT_IF_AGC
T_RF_AGC
T_RF_AGC
RF_AGC_SEL
RF_AGC_SEL 0: DTV 1: ATV
L56
L56
F526
F526 Fuse/100mA
Fuse/100mA
BLM18PG181SN1/NC
3
AO3401L
AO3401L
5V-IF
C827
C827 100u/25V
100u/25V
BLM18PG181SN1/NC
L1
L1
L24
L24
BLM18PG181SN1/NC
BLM18PG181SN1/NC
BLM18PG181SN1
BLM18PG181SN1
C828
C828
100u/25V
100u/25V
C464
C464 100n/25V
100n/25V
RF_AGC_SEL 2
5VAIN
+12V
C463
C463 100n/25V
100n/25V
12
5V_TUNER
C459
C459 1n/50V
1n/50V
IF_TV
ANT_5V_OUT
1 2
C446
C446 100n/16V
100n/16V
R308
R308 R303
R303
300R
300R 300R
300R
C345
C345
0.01uF
0.01uF
AGND
C220
C220
10n/50V
10n/50V
R297
R297 75R/NC
75R/NC
C346
C346
2.2u/10V
2.2u/10V
R2810RR281
0R
C219
C219 10n/50V
10n/50V
靠近
R283
R283
C230
C230
4.7k
4.7k
10n/50V
10n/50V
R2821kR282 1k
VIF_SW 2
3
Tuner
R2721kR272
V14
V14
1k
1
3
2SC2717
2SC2717
2
VIF_SW
放置
R298
R298 56R
56R
R285
R285 680R
680R
R302
R302
10k/NC
10k/NC
H1NCH1 NC
5 4 3 2
L3
L3 LGA0305-0u82-K
LGA0305-0u82-K
R2840RR284 0R
5V-IF
C235
C235
10n/50V
10n/50V
1
1
5 4 3 2
+12V
1
R326
R326 47k/NC
47k/NC
R291
R291
6.8k/NC
6.8k/NC
R286
R286
2.2k/NC
2.2k/NC
8 7 6
R300
R300
6.8k/NC
6.8k/NC
VD44
VD44
BA277/NC
BA277/NC
1 2
3
V21
V21 MMBT3904LT1/NC
MMBT3904LT1/NC
2
8 7 6
+12V 1
靠近主芯片放置
N58
N58
1
R3040RR304
0R
OUT2
IN1
IN2/SW2OUT1
GND
HS3611
HS3611
3
N6274 0: NTSC 1: PAL
2
C236
C236
C254
C254 100n/16V/NC
100n/16V/NC
线宽
12mil
100n/16V
100n/16V C252
C252
线宽
12mil
C242
C242
100n/16V
100n/16V
100n/16V/NC
100n/16V/NC
1
1
1
1
VIFM
,包地
,包地
VIFP
8 7 6
8 7 6
8 7 6
8 7 6
VIFM 2
VIFP 2
M7
MARKM7MARK
5 4 3 2
H9NCH9 NC
5 4 3 2
M5
MARKM5MARK
M6
MARKM6MARK
1
H4NCH4 NC
1
5 4 3 2
5 4 3 2
8 7 6
1
1
8
8
7
7
6
6
5
R999
R999 1M/NC
1M/NC
4
H3NCH3 NC
5
5
4
4
3
3
2
2
H8NCH8 NC
5
5
4
4
3
3
2
2
1
M1
MARKM1MARK
M3
MARKM3MARK
H5NCH5 NC
5
5
4
8 7 6
4
3
3
2
2
M2
MARKM2MARK M4
MARKM4MARK
1
1
8
8
7
7
6
6
Title
Title
Title
MSD309PX
MSD309PX
MSD309PX
Size Document Number Rev
Size Document Number Rev
Size Document Number Rev
Custom
Custom
Custom
TUNER
TUNER
TUNER
Saturday, November 27, 2010
Date: Sheet of
Saturday, November 27, 2010
Date: Sheet of
Saturday, November 27, 2010
5
4
3
2
Date: Sheet of
1
A
A
A
106
106
106
Page 52
5
R137
R137
C232
47k/NC
Headphone out
EARPHONE_OUTL
D D
EARPHONE_OUTR
EARPHONE_OUTR2
EARPHONE_OUTL
2
C C
R400
R400
0R/NC
0R/NC
R148
R148 10k/NC
10k/NC
R415
R415
0R/NC
0R/NC
R156
R156 10k/NC
10k/NC
EARPHONE_OUTR EARPHONE_OUTL
C321
C321
C320
C320
10u/16V
10u/16V
10u/16V
10u/16V
C409
C409
10u/16V/NC
10u/16V/NC
C319
C319
10u/16V/NC
10u/16V/NC
L14
L14 L15
L15
10.0 uH
10.0 uH R486
R486
10.0 uH
10.0 uH
R422
R422
200R
200R
200R
200R
R180
R180
10k/NC
10k/NC
R158
R158
10k/NC
10k/NC
47k/NC
R147
R147
5.1k/NC
5.1k/NC
C200
C200 820p/50V/NC
820p/50V/NC
R195
R195
47k/NC
47k/NC R159
R159
5.1k/NC
5.1k/NC
C212
C212 820p/50V/NC
820p/50V/NC
C822
C822 C823
C823
100u/16V
100u/16V 100u/16V
100u/16V
C232
120pF
120pF
1 2
OPAVREF
AU1_IN AU2_OUT
AU1_OUT
C164
C164 120pF/NC
120pF/NC
1 2
PH-Rin PH-Lin
N40
N40
4
VEE
+IN13-IN2
-IN12OUT2
1
OUT1
BA4558FAZ4558CM/NC
BA4558FAZ4558CM/NC
AU2_IN
+12V
OPAV120
4
+IN2
VCC
R132
R132 47k/NC
47k/NC
R131
R131 47k/NC
47k/NC
5
6
7
8
R201
R201
C189
C189
10R/NC
10R/NC
100n/25V/NC
100n/25V/NC
OPAVREF
AU2_IN
C406
C406
10u/16V/NC
10u/16V/NC
C246
C246 100n/25V/NC
100n/25V/NC
C355
C355
10u/16V/NC
10u/16V/NC
OPAV120
AU1_OUT
R154
R154 47k/NC
47k/NC
L4
1 2
4.7uH/NCL44.7uH/NC
C405
C405
C397
C397
10u/16V/NC
10u/16V/NC
10u/16V/NC
10u/16V/NC
L85
L85
BLM18PG181SN1/NC
BLM18PG181SN1/NC
1u/16V/NC
1u/16V/NC
R197
R197
470R/NC
470R/NC
R142
R142 47k/NC
47k/NC
OPAV120
C271
C271
R149
R149
470R/NC
470R/NC
PH-Rin
C211
C211 100n/25V/NC
100n/25V/NC
OPAVREF
3
PH-Lin
24寸用C829,32寸用C821
100u/25V/NC
100u/25V/NC C824
C824
Mute Circuit
+12V
VCC-A
5Vstb
C829
C829
470u/16V
470u/16V
R4230RR423
R359
R359
0R R403
R403
0R/NC
0R/NC
0R/NC
0R/NC
12
VD67
VD67
1N4148W
1N4148W
R4111kR411 1k
R410
R410 100k
100k
VD92
VD92
1N4148W/NC
1N4148W/NC
1 2
VD66
VD66
C821
C821
1 2
47u/25V
47u/25V
Headphone jack
XS12
XS12
HeadPhone
HeadPhone
AGND
3
R
4
WR
2
WL
1
L
5
2
R358
R358 1k/NC
1k/NC
R357
R357 47k
47k
R4410RR441
2
MMBT3906LT1
MMBT3906LT1
0R
1N4148W/NC
1N4148W/NC
AMP-MUTE2
PH-Rin
PH-Lin
RV32
RV32
AVLC18S02015/NC
AVLC18S02015/NC
5Vstb
+12V
VCC-A
12
VD42
VD42
1N4148W
1N4148W
V24
V24
1
PWR_OFF_MUTE
3
AMP-MUTE
VD65
VD65
1 2
R299
R299 470R
470R
AVLC18S02015/NC
AVLC18S02015/NC
R419
R419 47k
47k
R443
R443 22k/NC
22k/NC
1N4148W
1N4148W
RV33
RV33
5Vstb 1
+12V 1
VCC-A 1
VD75
VD75
2
3
1
BAV99LT1
BAV99LT1
VD50
VD50
1 2
1N4148W
1N4148W
24寸用R436,32寸用R435
PWD_MT
R362
R362
24寸用R363,32寸用R362
5VAIN
R311
R311
R320
R320
47k
47k
HP_DET
HP_DETHP_DETHP_DETHP_DETHP_DETHP_DET
10k
10k
R343
R343 470R
470R
R3631kR363
1k
VD91
VD91
1N4148W/NC
1N4148W/NC
R375
R375 100k
100k
10k
10k
HP_DET
R321
R321 10k/NC
10k/NC
R436
R436
8.2k
8.2k
220u/25V
220u/25V
1
C832
C832
24寸用C832,32寸用C820
R407
R407
C820
47u/25V
47u/25V
1 2
C820
1
5VAIN
C392
C392 10u/10V
10u/10V
R424
R424 10k
10k
SHUTDOWN
R4350RR435 0R
V23
V23
3
MMBT3904LT1
MMBT3904LT1
2
HP_DET 2
VD54
VD54
1 2
1N4148W
1N4148W
0R/NC
0R/NC
R374
R374
R4050RR405
0R/NC
0R/NC 0R
R360
R360 10k/NC
10k/NC
5VAIN 1
PWD_MT
+12V VCC-A
5Vstb
22u/16V
22u/16V
C247
C247
24寸用C247,32寸不用
R329
R329
0R/NC
0R/NC R327
R327
R325
R325 22k
22k
0R/NC
0R/NC
V33
V33
3
MMBT3904LT1
MMBT3904LT1
2
2
AGND
PH-Lin
PH-Rin
R418
R418
10k
10k
R413
R413
10k
10k
DGND
R328
R328 10k
10k
+12V
VCC-A
5Vstb
C245
C245 10u/10V/NC
10u/10V/NC
V28
V28
3
1
MMBT3904LT1
MMBT3904LT1
2
V35
V35
3
1
MMBT3904LT1
MMBT3904LT1
2
Title
Title
Title
Size Document Number Rev
Size Document Number Rev
Size Document Number Rev
Date: Sheet of
Date: Sheet of
Date: Sheet of
R50
R50
1
10k
10k
V34
V34
2
3
V36
V36
2
3
MSD309PX
MSD309PX
MSD309PX
Custom
Custom
Custom
Tuesday, January 11, 2011
Tuesday, January 11, 2011
Tuesday, January 11, 2011
33V_Normal
R35
R35
4.7k
4.7k
MUTE_5707
V43
V43
3
MMBT3904LT1
MMBT3904LT1
2
0:PWM Stop 1:PWM Normal
R416
R416
PWR_OFF_MUTE
1
MMBT3904LT1
MMBT3904LT1
10k
10k
R426
R426
1
MMBT3904LT1
MMBT3904LT1
10k
10k
Audio Amplifier
Audio Amplifier
Audio Amplifier
1
A
A
A
710
710
710
GND
Amplifier
33V_Normal
L89
PVDD_D_44
AVSS
DVSS28GND29AGND
30
L89
C129 10uFC129 10uF
1 2
C125
C125
BLM18PG181SN1
BLM18PG181SN1
100n/25V
100n/25V
27
13
AVDD
GVDD_OUT_31
GVDD_OUT
STEST
EPAD
26
49
DVDD OUT_A
BST_A BST_B
OUT_B
OUT_C
BST_C BST_D
OUT_D
VREG
4
VCC-A
C825
C825
C127
C127 C181
C181 100u/25V
15 21 20 22
24 23 19
8 11 12 10 16 18
6
7 14 25
100u/25V
100n/25V
100n/25V 100n/25V
100n/25V
N17
N17
MCLK SCLK LRCLK SDIN
SCL SDA PDN_18 NC
PLL_FLTP VR_ANA PLL_FLTM OSC_RES VR_DIG SSTIMER
OC_ADJ FAULT_13 RESET_24
2
B B
R59
R59
I2C-SCL2,10 I2C-SDA2,10
R324
R324
R318
R318
470R
470R
470R
470R
33V_Normal
AMP-RST
I2S_OUT_MCK I2S_OUT_BCK I2S_OUT_LRCK I2S_OUT_SD
MUTE_5707
R317
R317
200R
200R
5
10k/NC
10k/NC
C128
C128
C130
C130
4.7n/50V
4.7n/50V
R144
R144
4.7n/50V
4.7n/50V
C277
C277
C155
C155
C182
C182
18k
18k
4.7u/10V
4.7u/10V
R58 22K1
R58 22K1
1 2
100n/25V
100n/25V
R323
R323
2.2n/50V/NC
2.2n/50V/NC
R346
R346
10k
10k
100R
100R
R387
R387 R349
R349
22R
22R 22R
22R
C290
C290
C172
C172
4.7n/50V
4.7n/50V
4.7n/50V
4.7n/50V
R-RESC1608N-HX
R-RESC1608N-HX
C286
C286 100n/25V
100n/25V
I2S_OUT_MCK2 I2S_OUT_BCK2 I2S_OUT_LRCK2 I2S_OUT_SD2
33V_Normal
R136
R136 47k/NC
47k/NC
C256
C256
R133
R133
100n/25V/NC
100n/25V/NC
47k/NC
47k/NC
A A
Present for eleminating pop,C256close to 12 PIN
AMP-RST2
C851
C851
C126
C126
C163
C163 100u/25V
100u/25V
100n/25V
100n/25V
100n/25V
100n/25V
35
41
34
40
44
45
3
PVDD_A
PVDD_B
PVDD_D
PVDD_C
PVDD_A_7
PVDD_B_46
PVDD_C_29
TAS5707
TAS5707
TAS5707PHP
DVSSO
PGND_CD37PGND_CD_5
PGND_AB47PGND_AB_2
9
17
38
48
33V_Normal
L90
L90
C121 10uFC121 10uF
1 2
BLM18PG181SN1
BLM18PG181SN1
C119
C119
100n/25V
100n/25V
1
C165
C165
4
C288
C288
43
33n/50V
33n/50V
46
33n/50V
33n/50V
C124
C124
5
C293
C293
32
1u/50V
1u/50V
1u/50V
1u/50V
39
C504
C504
42
C322
C322
33
33n/50V
33n/50V
36
33n/50V
33n/50V
31
C285
C285 100n/25V
100n/25V
L25
L25
22.0 uH
22.0 uH
L29
L29
22.0 uH
22.0 uH
L26
L26
22.0 uH
22.0 uH
L28
L28
22.0 uH
22.0 uH
AMP-R+10 AMP-R-10 AMP-L-10 AMP-L+10
R389
R389
56R/NC
56R/NC
C166
C166 470n/50V
470n/50V
C154
C154 470n/50V
470n/50V
R385
R385
R392
R392
56R/NC
56R/NC
56R/NC
56R/NC
C507
C507 470n/50V
470n/50V
C173
C173 470n/50V
470n/50V
R386
R386
56R/NC
56R/NC
C217
C217
10n/50V/NC
10n/50V/NC
C142
C142 220n/50V
220n/50V
C179
C179 220n/50V
220n/50V C215
C215
C213
C213 10n/50V/NC
10n/50V/NC
10n/50V
10n/50V
C334
C334 220n/50V
220n/50V
C503
C503 220n/50V
220n/50V
C206
C206
10n/50V/NC
10n/50V/NC
AMP-R+ AMP-R-
AMP-L-
AMP-L+
AMP-R+
AMP-R-
AMP-L-
C508
C508 680n/16V/NC
680n/16V/NC
AMP-L+
3
C180
C180 680n/16V/NC
680n/16V/NC
XP6XP6
4 3 2 1
PH-Lin7 PH-Rin7
SHUTDOWN7
Amplifier Mute
R332
R332
SHUTDOWNSHUTDOWN
10k
10k
Headphone Mute
PWR_OFF_MUTE
PWR_OFF_MUTE PWR_OFF_MUTE
33V_Normal
33V_Normal 1
PH-Lin
PH-Rin
SHUTDOWN
1
Page 53
5
4
3
2
1
5VAIN
D D
5VAIN 1
Power for USB
5VAIN
C C
L46
L46
STPB2012-121PT
STPB2012-121PT
MMBT3904LT1 /NC
MMBT3904LT1 /NC
+5V_USB
C115
C115 100n/16V
100n/16V
V25
V25
3
2
R61
R61
4.7k/NC
4.7k/NC
1
1u/16V/NC
1u/16V/NC
C120
C120 1u/16V
1u/16V
R49
R49
C114
C114
4.7k/NC
4.7k/NC
L888
L888
STPB2012-121PT
STPB2012-121PT
N28
N28 AO4459 /NC
AO4459 /NC
1
S1
2
S2
3
S3
4
G
D1 D1 D2 D2
ON_USB 2
5V_USB
8 7 6 5
100u/16V
100u/16V C817
C817
USB Input
Shield
6
R42
RV8
RV8
R42 R43
R43
5.1R
5.1R
5.1R
5.1R
USB0_DP USB0_DMUSB1_D1-_in
USB0_DP 2 USB0_DM 2
4
GND
3
D+
GND5GND
2
D -
1
B B
VCC
XP15XP15
5V_USB
USB1_D1+_in
RV7
RV7
ASES12U020R2/NC
ASES12U020R2/NC
ASES12U020R2/NC
ASES12U020R2/NC
SH2SH2
1 2 3 4
A A
Title
Title
Title
Size Document Number Rev
Size Document Number Rev
Size Document Number Rev
Date: Sheet of
Date: Sheet of
Date: Sheet of
5
4
3
MSD309PX
MSD309PX
MSD309PX
A
A
A
USB
USB
USB
Saturday, November 27, 2010
Saturday, November 27, 2010
Saturday, November 27, 2010
2
A
A
A
1010
1010
1010
1
Loading...